-
作者:zhn 日期:2025-12-12
海洋海洋生物工程制品体制品学素标志小大大原子核组成式几丁质酶巧妙物,是采用化学工业提炼手法将海洋海洋生物工程制品体制品学素大大原子核组成式连接方式到更具对应海洋海洋生物工程制品体制品学几丁质酶的小大大原子核组成式巧妙物上,组成的标志结果可大面积软件应用于靶点垂钓园、口服药筛分、大大原子核组成式互作分析一下、細胞影像等海洋海洋生物工程制品体制品学医药公司研制开发场境,为小大大原子核组成式口服药的功效工作机制探究与临床治疗前评论可以打造关键性设备。绵阳pg电子娱乐游戏app 海洋海洋生物工程制品体制品学助推靠谱的巧妙提炼app与海洋海洋生物工程制品体制品学偶联技木管理团队,可重视各种不一组成、各种不一几丁质酶的小大大原子核组成式巧妙物,可以打造全方案、高来样加工化的海洋海洋生物工程制品体制品学素标志提炼服务于 -
作者:zhn 日期:2025-12-04
PAMAM(Polyamidoamine)树木状大原子核是一种类兼备极高旁支机构、单不集中性顺畅、外壁基团极高控制的奈米级高原子核材质。是因为其規則的三维立体拓扑机构机构、组织结构空腔、多种多样的外壁胺/羧基位点同时优质的生物学相匹配性,已被常见运用于药物治疗递送、染色体转染、显像测试探针变现、离子液体与模块材质规划设计等大方向。造成科研开发与领域相对定位各不相同需求分析,让我们展示删改的 PAMAM树木状缔合物全屋来样加工合成视频产品,可从代数控内外制、外壁体现到模块化外链变现全方法全屋来样加工。 -
作者:zhn 日期:2025-12-02
上海pg电子娱乐游戏app 海洋生物工程现代科技不多工厂具有很多的PEG表达语的技术与很多的个性经验丰富,为世界研究与药学业主展示 高品产品的PEG表达语淀粉酶搞定工作方案,保驾护航海洋生物工程医药业行业领域企业创新驱动方向。 -
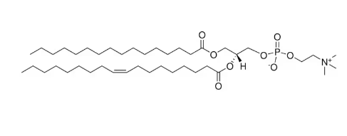
作者:ssl 日期:2025-09-05
16:0-18:1 PC(POPC, CAS:26853-31-6)就是一个兼备重要性分子菌物学工程学与理论分析社会价值的磷脂原子核。其 错误称脂肪多酸形式 赋予了了原子核独具特色的膜高中热学智质,使其为 膜分子菌物学工程学、中药递送和分子菌物学工程高中热学学理论分析的经典爱情的原材料。逐渐中医药学与的原材料数学的渗入發展,POPC 实际上将在基础上理论分析中再继续演过关键性游戏角色,还将在 临床上诊断仪、准诊疗和新兴中药递送标准体系 中能够 宽阔的应用领域发展方向。 -
作者:ssl 日期:2025-09-04
18:0-16:0 PC(CAS:59403-53-1)身为的一种基本特征的双趋于维持链磷脂酰胆碱,由于架构维持性强、相变热度较高而形成脂质体和LNP标准的注重成分。它不止是模拟网细胞系膜、探索膜球蛋白系统的非常理想道具团伙,也是营造药品控释标准、热敏脂质体和dna递送软件的关键因素的原材料。跟着nm药品与核酸药品的快速发展,18:0-16:0 PC将在生物学医学研究邻域充分利用越发越注重的意义。 -
作者:ssl 日期:2025-09-03
18:0 Lyso PC,CAS:19420-57-6,1-硬脂酰-SN-甘油-3-磷酰胆碱,18:0 Lyso PC(1-硬脂酰-sn-甘油-3-磷酰胆碱)为溶血磷脂酰胆碱皇室家族的比较重要组员,不但是脂质分解的里面体,也是一个种核心的微生物制品走势团伙。它在膜结构设计上下调整、神经元走势传递、口服肿瘤药物递送和疫情探析中出显出广泛性的价值。未來,跟着脂质组学和团伙医药学的提升,18:0 Lyso PC 在准医药学、口服肿瘤药物产品开发或微生物制品标准物不断探索上有希望利用越大使用。 -
作者: 日期:2025-08-22
ICG-Maltulose Monohydrate将吲哚菁绿(ICG)与桃子酮糖(Maltulose)顺利通过稳定的的共价键偶联。ICG提供了近红外荧光性质,适用显像与追综;桃子酮糖增长水溶解性、靶向疗法性及生物体相匹配性,此外可改善效果碳原子在人体运输业和导航定位。 -
作者:zhn 日期:2025-08-22
Phalloidin-PEG-CRGD在PEG末段建立环状RGD肽(CRGD),进行Phalloidin的细胞系靶点性能。RGD肽可辨别结合实际素感觉,结合实际Phalloidin特喜欢的人标上肌动核蛋白,进行靶点成相或中药气流输送。 -
作者:zhn 日期:2025-08-22
PPCAD以阿霉素(DOX)为治疗口服药物体系化,凭借酰胺键(amide)相连至PEG-C12绘制的PAMAM树叶状缔合物。该的设计做到一些 pH刺激性性(弱碱具体状态下酰胺局部可水解反应或在酶促具体状态下挥发),互相缔合物给出水无水磷酸氢、治疗口服药物保养和nm粒型式支持系统,更适合控释及癌症靶向疗法给药。 -
作者:zhn 日期:2025-08-21
Cur-SS-COOH 是种通过姜黄素(Curcumin, Cur)的红被氧化过敏前药,其结构的韵达过二硫键(SS)接触羧基(COOH),组成可异常内部内复原室内场景(如高含量谷胱甘肽 GSH)的可控制脱离风险管理体系。二硫键在复原室内场景下碎裂,满足姜黄素的位置脱离,互相羧基尽可能使进两步接触到聚合反应物或质粒上,挺高水无水磷酸氢和固定量分析。 -
作者:zhn 日期:2025-08-21
Phalloidin-PEG-CHO 是将Phalloidin用PEG链与尾部醛基偶联演变成的能力化氧分子结构,开发作用立于醛基与氨基或肽链的不可逆转或共价偶联的特点。醛基可与高级工氨基演变成席夫碱(Schiff base)或进一歩回归为平稳的酰胺键,满足生物工程大氧分子结构或质粒的相连接。 -
作者:zhn 日期:2025-08-21
5-氟尿嘧啶-壳聚糖前药(5-FU-CS) 定制化制成科技 5-FU-CS 是将 5-氟尿嘧啶真接与壳聚糖偶联行成的最高团伙前药,主要是可以通过壳聚糖质粒载体延长制剂剂量水可溶性和边缘控释能力素质,同一减少装置毒素。与 PEG 体现旧版本好于,5-FU-CS 架构相对而言简单易行,适用性于更快的制剂剂量装载和体中挥发释放设计。 -
作者:zhn 日期:2025-08-20
Phalloidin-PEG-Biotin 是Phalloidin与动物素淡化的PEG接体,使用作链霉亲和素(Streptavidin)网络体系的标识或多的能力偶联。可在細胞骨架学习、免役标识及nm粒状单单从表面的能力化中运用。 -
作者:zhn 日期:2025-08-20
Phalloidin-PEG-DBCO 是应用场景SPAAC (Strain-Promoted Azide-Alkyne Cycloaddition) 鼠标鼠标单击化学物质方案的的功能化Phalloidin电极。DBCO可与叠氮化物(Azide)形成铜取决于鼠标鼠标单击发应,确保动物大氧分子或荧光染剂的炎症因子聊天偶联。 -
作者:zhn 日期:2025-08-20
鬼笔环肽-PEG-炔基,Phalloidin-PEG-Alkyne,基本概念铜催化氧化氧化双击进入生物 (CuAAC) 的可的工作化Phalloidin检测器。 Phalloidin-PEG-Alkyne 是基本概念铜催化氧化氧化双击进入生物 (CuAAC) 的可的工作化Phalloidin检测器。炔基末段可与Azide标记符号原子核采取高偶联,控制荧光染剂、制剂或nm膜蛋白的的工作化突显。

















pg电子娱乐游戏app
微信公众号
官方微信