16:0-18:1 PC,CAS:26853-31-6,磷脂酰胆碱(PC)的合成与制备
16:0-18:1 PC,CAS:26853-31-6
16:0-18:1 磷脂酰胆碱(PC)一、基本信息
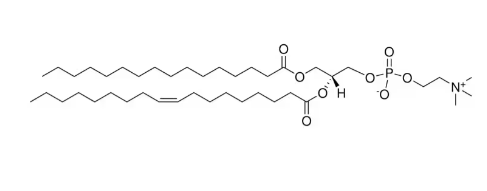
单质公司名称:16:0-18:1 磷脂酰胆碱英文版名字大全:1-palmitoyl-2-oleoyl-sn-glycero-3-phosphocholine,名字简称 POPCCAS号:26853-31-6氧化学结构式:C42H82NO8P大分子量:760.1 g/mol该有机化合物是惯用的 磷脂酰胆碱(PC)类原子核之四,类属甘油磷脂(glycerophospholipid)大家族。其碳水化合物酸构造极具很明显的错误称性:sn-1 位:棕榈酸(16:0),供大于求蛋白质酸;sn-2 位:油酸(18:1, cis-Δ9),单不饱合蛋白质酸;头基:磷酸胆碱,强性亲水基团。这般对不上称性给予了 16:0-18:1 PC 特有的物理性催化类别,使其形成 探讨細胞膜型式与实用功能的精选模型工具氧分子。二、结构特征与理化性质
两亲性亲丙烯酸乳液树脂的胆碱头基和疏丙烯酸乳液树脂的油脂酸尾链塑造团伙两亲性,可能在水环保中自安装成双团伙层。相现象16:0 脂链较直,易进行协调一致堆放;18:1 脂链因双键来源于而反弯,添加膜的移动性;POPC 的相转型摄氏度(Tm)约为 -2 °C,在女性生理摄氏度下存在流通相(liquid crystalline phase),是可以虚拟先天动物膜。双氧分子层的特征POPC 双层玻璃料厚约 4–5 nm,膜的市场风险性、渗透工作会更性及可塑性均相近母乳喂养两栖动物細胞质膜。三、合成与制备
非天然源POPC 是蒲乳期昆虫细胞核膜中常常见的磷脂一种,尤为在脑聚集和血浆中份量较高。化学上的分解研究常见的 POPC 多由化学物质提炼赢得,实现选用性酯化表现将棕榈酸与油酸对接甘油骨架,并带来磷酸胆碱头基。现今合出施工工艺能能提供高溶解度(>99%)和明晰的3d立体构型(sn-1 与 sn-2 追踪定位)。放置必要条件对温暖和脱色敏感脆弱,必须高湿(-20 °C 或 -80 °C)和惰性废气保护性下存放,以预防蛋白质酸链脱色。
四、生物学功能
神经元膜构造POPC 是质膜和子宫内膜机系统的其主要成份一种,调控膜的还是资产流动性性与机构稳固性。基于其低相转换室温,致使细胞系膜在生理性室温下保护柔软性。无线信号转导POPC 可当为酶角色底物,比如说被磷脂酶 A2 (PLA2) 裂解,引发溶血磷脂(LPC)和肌肉酸,故而直接参与发炎和的信号转导。脂筏与膜域确立POPC 在膜中会与甘油三酯、鞘脂等双方效果,会影响脂筏型式的出现与动态化均衡。五、研究与应用领域
1. 膜动物学与模型工具膜研究探讨POPC 是研究探讨生态学膜有趣的绘图分子式式结构的一种,通常用于化学合成 单分子式式结构膜、双分子式式结构层和巨/小双层囊泡(GUVs, LUVs, SUVs)。用在理论研究膜核蛋白与脂质的充分效果、膜透光性、脂质相区分及其微米尺度大的膜推动运动学。2. 药递送与脂质体制机制备因 POPC 膜在生物学能力下具有着外流性和稳定的性,它是 脂质构成备的关键的材质。常与胆固醇升高、PEG-装饰脂质等相互配伍,使用于分离纯化*癌肿瘤性药物、核酸肿瘤性药物(siRNA、mRNA预防针)和另一个生物技术活性酶团伙的形式。3. 海洋生物电磁学与求算模拟机POPC 加厚膜参数设置(空间/脂质、膜强度、散出比率)已被多方面测量和标准规定化。在分子结构发动机学(MD)模拟网中,POPC 单层是论述膜球蛋白复制到、脂质互为效用的“黄金的标准规范”模式。4. 患病设计POPC 水平方向的发生改变与代谢率患病、动脉血管粥样固化和神经末梢退行性患病等重视涉及。在阿尔茨海默病等症状仿真模型中,POPC 膜被中用钻研小麦淀粉样球蛋白对膜组成的影晌。六、检测与分析方法
质谱了解(MS)LC-MS/MS 可对 POPC 在生物技术产品的样品中的量来一定量剖析。核磁共振检查现象(NMR)¹H-NMR 与 ³¹P-NMR 用在探讨磷脂的结构特殊性特殊性与相个人行为。X放射线与中子散射探讨 POPC 多层膜的层厚、团伙对齐及相变的特点。荧光显微与单团伙系统合理利用荧光标示的 POPC,还可以直接考察其在肿瘤细胞或人工膜中的数据分布与动态性。七、优势与局限性
优越与母乳喂奶哺乳动物组织细胞核组成了极度靠近;低相转换温,適合生理特点环境下探究;可不稳化学合成人工费脂质体与纳米级媒体;有丰富多样的生物工程热学学技术指标和来计算养成参数。局限于性易受氧化的印象,需严格的储存;在有一些调查组织体制中,从单一POPC欠佳以造成复杂的膜的多种多样化;价钱相对来说较高,控制大建设规模化工用。八、应用前景与发展方向
跟着脂质组学、膜蛋白酶学和納米医学检验的怏速發展,16:0-18:1 PC(POPC)将在左右多方面显现更广阔的未来:准药学使用 POPC 内标去脂质组学阐述,促进表明急病涉及脂质怪物标示物。轻型类药物递送保障体系在 mRNA 预防针和表观遗传治愈平台中,POPC 脂质体其所不错的平衡性与生物工程相匹配性而被密切应用软件。劳动力癌细胞与获得菌物学POPC 是手动生成神经神经细胞质的惯用奶茶原料,能用的 于研究方案神经神经细胞首要的宝宝阶段。学科教学应该用依照奈米系统、光学反应激光散斑及来计算模以,POPC 将继读当作探析膜相关联不良现象的“标准规定氧分子”。九、结语
16:0-18:1 PC(POPC, CAS:26853-31-6)是一个具有重要生物学与研究价值的磷脂分子。其 不对称脂肪酸结构 赋予了分子独特的膜物理性质,使其成为 膜生物学、药物递送和生物物理学研究的经典材料。随着医学与材料科学的深入发展,POPC 不仅将在基础研究中继续扮演关键角色,还将在 临床诊断、准医疗和新型药物递送体系 中展现广阔的应用前景。
昆明pg电子娱乐游戏app 动物具备很多种 PC(磷脂酰胆碱) 与 PE(磷脂酰无水乙醇胺),源于牢靠、纯更高,不论是用以 脂质体创建、膜型号探究,亦或是 类药物递送与基本功能化纳米技术颗粒肥料光催化原理,都能具备稳定性高的的性能得到保障。各异的链长、过饱和度和突显类,让科技专业人员可结合实践使用需求便捷选定,容易建造科学规范实践工作平台。设备厂家:浙江pg电子娱乐游戏app 生物技术技术十分有限装修公司主要用途:科研开发睡眠状态:混合物/粉状/溶剂生产地:宝鸡温磬告诉:仅限于科研课题,不可以适用身休实验所!关于护肤品:18:1(n10)-16:0 PC - IsoPure,CAS:2389048-47-718:1 Lyso PC,CAS:19420-56-518:1-06:0 NBD PC,CAS:106974-05-415:0-18:1-d7-PC,CAS:2097561-16-318:1-12:0 NBD PC,CAS:190792-36-018:1(n7)-16:0 PC - IsoPure,CAS:2389048-50-218:0 Diether PC

pg电子娱乐游戏app
微信公众号
官方微信