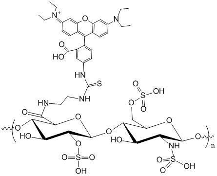
红色荧光素标记肝素 Rhodamine-Heparin/ Heparin-TRITC 相对分子质量在1 200 ~ 40 000 之间
肝素是由D-葡糖胺、L-艾杜糖醛酸及β-D-葡糖醛酸跳变接触而成的黏多糖磷酸酯,相对性原子核重量在1 200 ~ 40 000 内,大量现实存在于部分动物体内的,常见从牛肺和猪直肠结膜中分离出。肝素中每家二糖单元尺寸中年均内含2. 7 个磺基,情者其内含羧基,促使肝素变成了以来之比的天R物品中负电性Z强的化学工业物质,故其可与更多蛋清**( 如动脉血管内皮种子发芽系数和蛋清酶等) 出现静电放电互为的角色,进而对蛋清起安稳的角色,避免其性变。近些年,有实验者将肝素与其余高分数子食材聚合反应,绘制机械装备和化学工业的性能更好的媒介食材。產商品品牌称:大红色荧光素标出肝素用英语统称:Rhodamine-Heparin/ Heparin-TRITC日语介绍:Heparin is functionalized with rhodamine, Ex/Em wavelength 552/575 nm. Purity: >95% powder. Degree of substitution: 1 mol % substitution and at least one dye molecule per HP polymer.


pg电子娱乐游戏app
微信公众号
官方微信