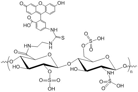
绿色荧光素标记肝素 FITC-Heparin/ Heparin-Fluorescein 肝素是由D-葡糖胺、L-艾杜糖醛酸及β-D-葡糖醛酸交替连接而成的黏多糖硫酸酯
肝素是由D-葡糖胺、L-艾杜糖醛酸及β-D-葡糖醛酸连续进行连接而成的黏多糖硝酸钠酯,相对来说原子核质量管理在1 200 ~ 40 000 左右,很广发生于動物体里,大部分从牛肺和猪结肠结膜中去除。肝素中每个二糖单园中平均水平包含的2. 7 个磺基,若斯其包含的羧基,使人肝素形成迄今为止己知的天R代谢物中负电性Z强的有机化合物,故其可与一些蛋清**( 如静脉内皮出现因素和蛋清酶等) 产生静电感应相互之间意义,然后对蛋清起稳定性意义,以避免其性变。近几年,有深入分析者将肝素与另外的拿高原子的建筑材料缩聚,转换机械设备和化学工业能力更优质的媒介的建筑材料。产品设备各称:红色荧光素符号肝素日语俗称:FITC-Heparin/ Heparin-Fluorescein日语详细介绍:Heparin is functionalized with fluorescein, Ex/Em wavelength 494/518 nm. Purity: >95% powder. Degree of substitution: 1 mol % substitution and at least one dye molecule per polymer光的波长:490 nm-511nm饱和度:95%+的状态:墨绿色粉丝生产厂:广州pg电子娱乐游戏app
生物体科技开发现有公司的



pg电子娱乐游戏app
微信公众号
官方微信