叶绿素家族(a、b、c、d)的偶联修饰定制技术
叶绿素家族(a、b、c、d)的定制技术
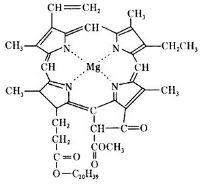
叶绿素分为、叶绿素b、叶绿素c、叶绿素d、叶绿素f 、原叶绿素和细菌叶绿素等。
| 叶绿素称谓 | 会存在环境 | 吸收能力光带 |
| 叶绿素a | 各个生态仿真植物中 | 红光和蓝紫光 |
| 叶绿素b | 高等专科学校藤本植物、绿藻、眼虫藻、管藻 | 红光和蓝紫光 |
| 叶绿素c | 硅藻、甲藻、褐藻、鹿角藻、隐藻 | 红光和蓝紫光 |
| 叶绿素d | 红藻、蓝藻 | 红光和蓝紫光 |
| 叶绿素f | 病毒 | 非可以说光(红外中波段) |
| 原叶绿素 | 黄化草本花卉(秧苗期) | 近于红光和蓝紫光 |
| 有害菌叶绿素 | 青色菌类 | 红光和蓝紫光 |



pg电子娱乐游戏app
微信公众号
官方微信