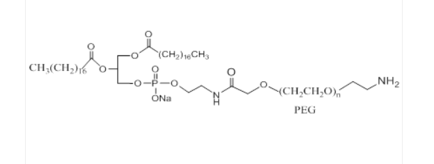
磷脂-聚乙二醇-氨基 自组装PEG脂质体 DSPE-PEG-NH2 (Amine functionalized PEG Lipid)
磷脂-聚乙二醇-氨基 自装设PEG脂质体 DSPE-PEG-NH2 (Amine functionalized PEG Lipid) 常常英文名称:磷脂-聚乙二醇-氨基英文字母英文缩写:DSPE-PEG-NH2英语怎么说中文名称:Amine functionalized PEG LipidCAS号:n/a; PEG: 25322-68-3; DSPE: 1069-79-0主链设备构造:二嵌段共聚物重要成分表:PEO/PEG亲疏水性聚氨酯:两亲性服务形式:自组装流水线PEG延伸物荧光/变色:无看专利/形状:nvme固态粉未或颗粒状(以具体情况看专利来算)架构式:



pg电子娱乐游戏app
微信公众号
官方微信