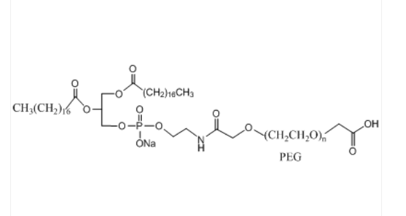
磷脂-聚乙二醇-羧基 自组装PEG脂质体 DSPE-PEG-COOH (Carboxylic acid functionalized PEG Lipid)
磷脂-聚乙二醇-羧基 自主装PEG脂质体 DSPE-PEG-COOH (Carboxylic acid functionalized PEG Lipid) 英文版名字:磷脂-聚乙二醇-羧基因为简单来说就是:DSPE-PEG-COOH英文音标它的全称:Carboxylic acid functionalized PEG LipidCAS号:n/a; PEG: 25322-68-3; DSPE: 1069-79-0主链结构的:二嵌段共聚物关键成分表:PEO/PEG亲疏水性树脂:两亲性类产品项型:自組裝PEG延伸物荧光/荧光:无外表/价值形式:固体咖啡豆或小粒(以实际情况外表来算)空间化学式:



pg电子娱乐游戏app
微信公众号
官方微信