磷脂-聚乙二醇-马来酰亚胺 自组装PEG脂质体 DSPE-PEG-MAL (Maleimide functionalized PEG Lipid)
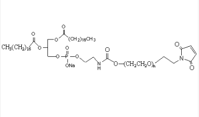
磷脂-聚乙二醇-马来酰亚胺 自主装PEG脂质体 DSPE-PEG-MAL (Maleimide functionalized PEG Lipid) 中文版公司名称:磷脂-聚乙二醇-马来酰亚胺英文翻译通称:DSPE-PEG-MAL英语怎么说全程:Maleimide functionalized PEG LipidCAS号:n/a; PEG: 25322-68-3; DSPE: 1069-79-0主链组成:二嵌段共聚物重点组成:PEO/PEG亲疏水溶性:两亲性新产类目型:自装设PEG衍生品物荧光/夜光:无外装/特征:固态硬盘安装粉丝或科粒(以实际的外装准确)组成式:



pg电子娱乐游戏app
微信公众号
官方微信