聚乙二醇-DMPE磷脂 自组装PEG脂质体 mPEG-DMPE (PEG Phospholipid conjugate)
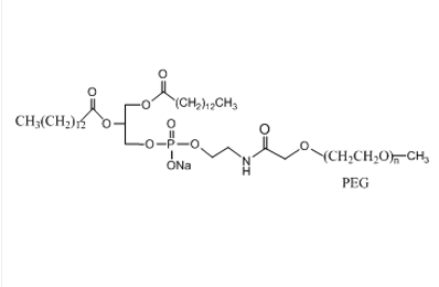
聚乙二醇-DMPE磷脂 自拼装PEG脂质体 mPEG-DMPE (PEG Phospholipid conjugate) 英文版名稱:聚乙二醇-DMPE磷脂国外英文又称:mPEG-DMPE英文字母简称:PEG Phospholipid conjugateCAS号:n/a; PEG: 25322-68-3; DMPE: 18194-24-6主链架构:二嵌段共聚物重要营养成分:PEO/PEG亲疏丙烯酸乳液:两亲性食品种型:自主装PEG诞生物荧光/变色:无外在/底部形态:固体粉末状或颗粒剂(以具体情况外在时以)组成式:



pg电子娱乐游戏app
微信公众号
官方微信