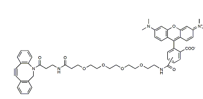
TAMRA-PEG4-DBCO
TAMRA-PEG4-DBCO 不是种 TAMRA 染剂标上制剂 PEG 直接头,DBCO 组可于寡核苷酸标上和手动化 DNA 测序软件应用的无铜 Click Chemistry。亲丙烯酸乳液 PEG 距离物增强了在丙烯酸乳液有机溶剂中的融掉度。
名字大全: TAMRA-PEG4-DBCO
计算公式: C54H57N5O10
饱和度: 95%
店铺时候: -20°C
水解度: DMSO、DMF、DCM

点击进入普通机械——二苯并环辛炔 (DBCO, Dibenzocyclooctyne) 用在不需铜铝离子催化剂的作用的叠氮-炔环加上 (SPAAC) 症状,该症状的三级症状能量学常数可达到到,DBCO题材產品收录可以选择在逐渐骤相连的 DBCO-acid、DBCO-amine、DBCO-PEG-COOH、DBCO-PEG-amine,相应DBCO箭头的 biotin、荧光有机染料和生物化小氧分子等。
相应的产品的:
DBCO-DPPE DBCO-二棕榈酰基磷脂酰酒精胺
DBCO-DOPE DBCO-二油酰基磷脂酰工业乙醇胺
DBCO-DMPE DBCO-二肉豆蔻年华酰基磷脂酰无水乙醇胺
DBCO-DLPE DBCO-二月桂酰基磷脂酰无水乙醇胺
DBCO-Cho DBCO--碳水化合物
DBCO-DMG DBCO--二肉豆蔻年华酰-sn-甘油
DBCO-DPG DBCO--双棕榈酸甘油酯
DBCO-DPPS DBCO--二棕榈酰磷脂酰丝氨酸
DBCO-SPDP DBCO--N-羟基蜜腊酰亚胺酯
工作状态:液体/粉沫/稀硫酸
制造地:陕西
贮藏精力:半年
存有:保鲜
领域:教学科研
工厂:宝鸡pg电子娱乐游戏app 生物体科技大公司有限大公司大公司


pg电子娱乐游戏app
微信公众号
官方微信