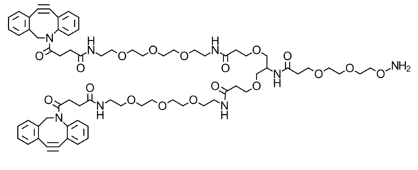
DBCO-氨氧基-PEG2-双-PEG3 DBCO-Aminooxy-PEG2-BIS-PEG3 的结构式
Aminooxy-PEG2-bis-PEG3-DBCO原子式:C70H92N8O18分子结构量:1333.52纯净度:>90%
产地:西安
包装:mg与g级别
包装:瓶装
供应商:西安pg电子娱乐游戏app
生物科技有限公司

相关产品


pg电子娱乐游戏app
微信公众号
官方微信