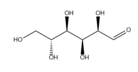
匍萄糖(glucose),充分类化合物,原子式C6H12O6。是必然界一项单糖,它不是项多羟基醛。纯静的匍萄糖为晶块结晶体,有甘咸味但甘咸味远不如乳糖,互不能溶解水,微互溶酒精,不互溶乙醚。匍萄糖水饱和溶液旋光向左向右,故算是“右旋糖”。
中文翻译名 常见葡萄品种糖
外文文献名 glucose
别 名 (2R,3S,4R,5R)-2,3,4,5,6-五羟基己醛、苞米葡糖、玉蜀黍糖
化学上式 C6H12O6
原子量 180.16
CAS扫码登录号 50-99-7
EINECS账号登录号 200-075-1
熔 点 146ºC
沸 点 527.1 ℃
水可溶 溶于
密 度 1.581 g/cm³
外 观 白色的无臭析出性颗料或晶粒大小状粉末状原材料
闪 点 286.7 ℃

货品详细信息:
GDP-木糖 GDP-Xylose
GDP-夏黑葡萄糖粉 GDP-Glucose
GDP-鼠李糖 GDP-Rhamnose
GDP-半乳糖 GDP-galactose
GDP-阿拉伯糖 GDP-Arabinose
GDP- 葡糖醛酸 GDP-GlcNAc
GDP-珠露糖 GDP-Mannose
GDP-石莼多糖 GDP-Xanthan
GDP- 黄原胶 GDP-Ulvan
GDP-岩藻多糖 GDP-Fucoidan
GDP-半乳岩藻多糖 GDP-Galactofucan
GDP-木聚糖 GDP-Xylan
GDP-半乳糖醛酸 GDP-Galacturonan
GDP- 芹半乳糖醛酸 GDP-Apiogalacturonan
GDP-阿拉伯聚糖 GDP-Arabinan
程序:液态/咖啡豆/水溶液
产区:绵阳
吸收时间间隔:3年
手机截图:冷冻冷藏
主要用途:科研管理
商家:渭南pg电子娱乐游戏app 生态学科枝有限厂家厂家


pg电子娱乐游戏app
微信公众号
官方微信