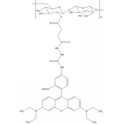
RB-Dextran,MW:70K
葡聚糖指的是以红提糖为单糖构成的的同型多糖,红提糖第一单元内以糖苷键相连。在其中依据糖苷键的型又可分alpha-葡聚糖和beta-葡聚糖。alpha-葡聚糖中实验及操作较多的为dextran Glucan,又被称为右旋糖酐。为其中一种多糖。存在着于其他微枯草芽孢杆菌在种子发芽具体步骤中外分泌的粘液中。葡聚糖更具较高的氧分子量
银川pg电子娱乐游戏app 怪物学科技信息有公司的自家的研究室**合并荧光标签的葡聚糖Dextran(DEX)商品,或是同一葡聚糖活力性基团增韧商品,葡聚糖增韧小编是能能淡化NHS,NH2氨基,怪物学素Biotin,叠氮N3,醛基,巯基Thiol-SH, 马来酰亚胺MAL孩他商品,葡聚糖的是能能使用大分子量的商品。

荧光葡聚糖(右旋糖酐)可选的荧光大分子结构和葡聚糖Dextran大分子结构量:
1:FITC/Rhodamine/TRITC/Comarin/Bodipy/ICG/CY3/CY3.5/CY5/CY5.5/CY7/CY7.5
2:葡聚含糖量子量:2000/5000/10000/20000/40000/70000/100000 Da
3:葡聚糖改善基团:纯化脂NHS/氨基NH2/生物体素Biotin/叠氮N3/醛基CHO/巯基SH/马来酰亚胺MAL/炔烃Alkyne/DBCO/Vinyl sulfone
车辆批售:
FITC-Dextran的产品全部:
DX5-FC-1 Dextran, FITC labeled 5000 Da 10 mg
DX10-FC-1 Dextran, FITC labeled 10000 Da 50 mg
DX40-FC-1 Dextran, FITC labeled 40000 Da 50 mg
DX70-FC-1 Dextran, FITC labeled 70000 Da 50 mg
DX500-FC-1 Dextran, FITC labeled 500 kDa 50 mg
DX2000-FC-1 Dextran, FITC labeled 2000 kDa 50 mg
DX20-FC-1 Dextran, FITC labeled 20000 Da 50 mg
RB-Dextran厂品下拉列表:
DX5-RB-1 , Dextran, Rhodamine B/RITC labeled 5000 Da 5 mg
DX10-RB-1 Dextran, Rhodamine B/RITC labeled 10000 Da 25 mg
DX40-RB-1 Dextran, Rhodamine B/RITC labeled 40000 Da 25 mg
DX70-RB-1 Dextran, Rhodamine B/RITC labeled 70000 Da 25 mg
DX500-RB-1 Dextran, Rhodamine B/RITC labeled 500 kDa 25 mg
DX2000-RB-1 Dextran, Rhodamine B/RITC labeled 2000 kDa 25 mg
DX20-RB-1 Dextran, Rhodamine B/RITC labeled 20000 Da 25 mg
DX3-RB-1 Dextran, Rhodamine B/RITC labeled 3000 Da 5 mg
情况下:液态/金属粉/稀硫酸
出产地:上海
储放时刻:在一年
保管:保鲜
种类:科研管理
厂商:陕西pg电子娱乐游戏app 微生物科持有限大公司大公司


pg电子娱乐游戏app
微信公众号
官方微信