您当前所在位置:首页 > 资讯信息 > 新品上市
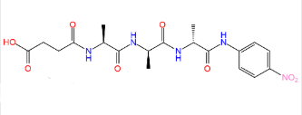
Suc-Ala-DAla-DAla-pNA CAS号:99242-11-2
发布时间:2022-06-29     作者:zyl   分享到:

中文名称:Suc-Ala-DAla-DAla-pNA

CAS号:99242-11-2

分子式:C19H25O8N5

平均分子量:451.43

分子量:451.17

储存条件:-20±5 °C

Suc-Ala-DAla-DAla-pNA

有关护肤品:Biotin-PancreaticPoly Peptide , human生物学素修饰语肽:Biotin-NSDCIISRKIEQKE生物学素三肽-1Biotinyl-εAhx-Amyloid β-Protein (1-42)Syk Kinase Peptide Substrate, Biotin labeledAmyloid β-Protein (1-42)-Lys(biotinyl) amide trifl原产地 :杭州含量:99%适用范围:仅应用在研究浪漫的提示:仅用以教育科研,难以用以机体实验室!