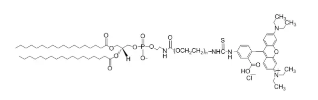
二棕榈酰磷脂酰乙醇胺-聚乙二醇-罗丹明B;DSPE-PEG-Rhodamine B,MW:2000
中文名种类:二棕榈酰磷脂酰甲醇胺-聚乙二醇-罗丹明B



pg电子娱乐游戏app
微信公众号
官方微信