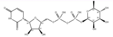
UDP-鼠李糖|CAS:1955-26-6|尿苷二磷酸鼠李糖|UDP-rhamnose
英文版公司名称:尿苷-5'-二磷酸鼠李糖简体中文同义词:UDP鼠李糖;尿苷二磷酸鼠李糖;二磷酸尿苷鼠李糖酯;UDP-L-鼠李糖;尿苷-5'-二磷酸鼠李糖;尿苷二磷酸鼠李糖(UDP-RHAMNOSE,CAS:1955-26-6)日语分类:Uridine 5'-(trihydrogendiphosphate), P'-(6-deoxy-b-L-mannopyranosyl) esterCAS No.:1955-26-6大化学结构式:C₁₅H₂₄N₂O₁₆P₂原子核量:550.30



pg电子娱乐游戏app
微信公众号
官方微信