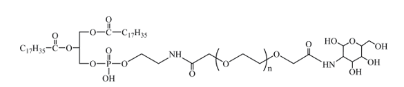
dspe-peg-mannose;二硬脂酰磷脂酰乙醇胺-聚乙二醇-甘露糖;磷脂-聚乙二醇-甘露糖;功能化PEG磷脂修饰甘露糖
2英文名号:二硬脂酰磷脂酰酒精胺-聚乙二醇-杨枝糖汉语別名:磷脂-聚乙二醇-甘霖糖;磷脂PEG偶连甘霖糖;的功能化PEG磷脂装饰甘霖糖英语翻译各称:DSPE-PEG-Mannose



pg电子娱乐游戏app
微信公众号
官方微信