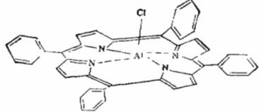
四苯基卟啉氯化铝(TPPAlCI)
四苯基卟啉氯化铝(TPPAICI),四苯基卟啉烷氧基铝(TPPAIOR)等卟啉铝化物,能可能会导致环氧漆类化合物,内酯等话性聚并成使用嵌段共缔合,还能使酸酐,二钝化碳缔合.这些促使剂来的化学活化配位聚合反应不被醇撤销,反而,在醇与化学活化链的快速的对换症状,醇能起与促使剂特别的效应,所以能**地调低配位聚合反应物的原子量.四苯基卟啉烷基铝(TPPAIR)在太阳光照下可导致甲基丙烯酸酯甲酯等烯类的实现活力性聚合物

5,10.15.20-四苯基卟啉(H2TPP)将12.0g(1 14.6mmol)苯装修甲醛放入300mL微沸的丙酸氢氧化钠溶液中,高速搅拌装置,并且慢慢逐滴放入溶有9.0mL(约0.133mol)新蒸吡咯的50mL丙酸,大概需要30min滴完。想法液135°C高温循环1h后,绞拌蒸发至60-70"C,再加上入100mL无水乙酸乙酯,绞拌蒸发至环境温度,敞口绞拌住宿,静置,抽滤,用10mL丙酸洗钝化涤滤饼至滤液没有颜色,机械泵旋蒸滤液至干,拥有卟啉粗物品。将粗品溶水在少量出的氯仿中,热熔胶(200-300日)柱层析,以氯仿为洗刷剂,自身包括打印机墨盒,旋干。甲醇重凝结。后80°C蒸空烘干8h,能够得到产品的四苯基卟啉5.1g,产出率约为33%。其它软件:四苯基卟啉氯化铝(TPPAlCI)匍萄糖cy5BODIPY 581/591 C11(脂质过脱色传红外感应器器)DSPE-PEG-甘草次酸dspe-peg-mannoseTCO-PNB Ester CAS:1438415-89-4荧光标示的地塞米松DPSE-PEG1000-MalFITC-奥沙利铂胆固-PEG2000-NH2HA-PEG-DSPE胆固醇升高-PEG-N3主产地 :广州色度:99%妙用:仅于科研开发和谐报错:仅适用以科研开发,不可适用以机体實驗!