FITC/ICG/CY3/CY5/CY7标示好几种糖祥细简绍
西安市pg电子娱乐游戏app 生态学网络有司我的实验室管理室带来了半乳糖、海带糖、木糖、无色化质酸、无色化质酸钠、壳寡糖、棉纤维三糖、毛蕊花糖苷、珠露醇、木聚糖、阿拉伯聚糖、L-树胶糖醇,果聚糖、双螺旋藻多糖,杂多糖等不同的淀粉酶酶质,不错带来了不同的荧光标注的淀粉酶酶,多糖,表面抗原或多肽物品,我司也不错带来了这个淀粉酶酶多糖的化学活化基团改善物品
1.我们大家会提拱荧光活性纺织染料在标上里边一些单糖多糖有一些活性纺织染料:
FITC/Rhodamine/TRITC/Comarin/Bodipy/ICG/CY3/CY3.5/CY5/CY5.5/CY7/CY7.5
2.对之内蛋清或多糖完成活力基团改性材料的基团包含有:
纯化脂NHS/氨基NH2/微生物素Biotin/叠氮N3/醛基CHO/巯基SH/马来酰亚胺MAL/炔烃Alkyne/DBCO/Vinyl sulfone
3.缔合物PLA、PAA、PAMAM、PCL、PLGA、PMMA接枝绘制糖电学生化试剂
FITC标签的好处及APP
在成千上万的荧光有机有机染料中,FITC因其高消除率、*异的荧光量子劳动生产率和比较好的水可溶性而将成为*受感谢的荧光有机有机染料最为。与其他荧光素产生了物一件,FITC就能够产生了可测量网络信号,而没有格外的测量化学试剂。这样的属性会让FITC在测量蛋清质或抗原的地方和解锁、设别蛋清质或抗原包覆物的造成和构象影响或是监测站身体的生物学的时候管理方面存在**普遍的的领域。原因这样的缺点,FITC早已被普遍的用。FITC标示的抗原就能够测量细胞膜、组织开展切开和western blots中的抗原。用FITC标示原子在电泳隔离后测量蛋清质和蛋清质及肽的微队列阐述中也很可行。
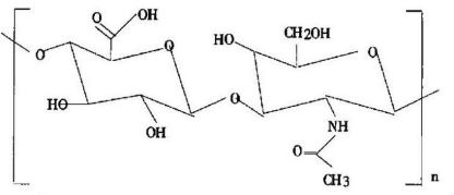
荧光标签白色质酸Hyaluronic Acid
D-巨峰夏黑葡萄糖注射液粉醛酸及N-乙酰葡糖胺形成的双糖公司的玻血尿酸(Hyaluronan),称之为糖醛酸、透明色质酸,主要构造是由两根双糖公司的D-巨峰夏黑葡萄糖注射液粉醛酸及N-乙酰葡糖胺形成的专业多糖。
通透质酸都是种拿高团伙的合成树脂物。是由标准D-常见提子品种糖醛酸及N-乙酰葡糖胺组建的多糖。D-常见提子品种糖醛酸及N-乙酰葡糖胺中间由β-1,3-配糖键相通,双糖标准中间由β-1,4-配糖键相通。双糖标准达到25000之多。在体中通透质酸的团伙量从5千到2千万别道尔。

定制开发类产品:
fitc图标津液酸半乳糖
fitc记号乳糖-二岩藻四糖 ,Difucosyllactose
fitc标出乳糖-N-四糖 LNT/Lacto-N-tetraose
fitc图标乳糖-N-岩藻五糖Lacto-N-fucopentaose
fitc标志口水酸半乳糖
fitc标志乳糖-二岩藻四糖 Difucosyllactose
fitc标签乳糖-N-岩藻五糖 Lacto-N-fucopentaose
fitc标签红提葡萄糖水glucose
fitc标上葡糖酸钙,Calcium Gluconate
fitc图标红提葡萄糖注射液酸钾盐,Potassium Gluconate
fitc标签D-无水夏黑葡萄糖注射液,D-(+)-Glucose
fitc标示L-(-)-冬枣糖,L-(-)-Glucose
fitc图标苔黑酚红葡萄糖水苷Sakakin
fitc标识糖胺聚糖Glycosaminoglycans/GAGs
fitc标记符号N-乙酰-D-氨基红提葡萄糖注射液;N-Acetyl-D-glucosamine;
fitc标记符号D-氨基红葡萄糖水酸;D-Glucosamic Acid;
fitc箭头D-夏黑葡萄糖粉醛酸烯丙基酯;Allyl D-glucuronate
fitc标出D-萄葡糖醛酸,尿酐酸D-Glucuronic Acid
应用:研发
阶段:粉状/粉末状/悬浊液
出产地:陕西
处理时光:2年
存储:食品冷藏
生产厂:深圳pg电子娱乐游戏app 生态学信息技术现有大公司


pg电子娱乐游戏app
微信公众号
官方微信