PLGA-PEG-PLGA聚乙交酯丙交酯聚乙二醇聚乙交酯丙交酯,PEG可选分子量:1000,2000,3400,5000
Poly(lactic-co-glycolic acid)-b-Poly(ethylene glycol)-b-Poly(lactic-co-glycolic acid) copolymers, (Mw ~ 200:5,000:200 Da LA:GA 65:35)
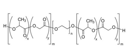
PLGA-PEG-PLGA
英文版名字:Poly(lactide-co-glycolide)-block-poly(ethyleneglycol)-block-poly(lactide-co-glycolide)
外装:洁白/类黑色胶体(外型衡量于原子核量)
溶解性度:溶水充分强酸强碱
PLGA大分子量:10002000 5000 10000 0000
PEG可选择原子核量:1000,2000,3400,5000
PLGA分配比例:50:50/75:25
的质量保持:加入率>90%,PDI<1.4
存储要求:-20℃ 2年
成品叙说:PLGA-PEG-PLGA能能广泛用于配制胶束也就可以囊泡等最新型靶点的的产品,的的产品末端渗透性基团能能的链接一系表达多肽、淀粉酶、糖元、DHA或之类,使其具备及时靶点帮助.
结构设计式:
西安pg电子娱乐游戏app 生物科技有限公司是西北一家生物公司,产品服务于光电材料、**传递系统、点击化学等领域。公西安pg电子娱乐游戏app 生物科技有限公司主要经营产品有合成磷脂、生化试剂、ELISA试剂盒、细胞因子、纳米材料、荧光染料、点击化学、技术服务、实验耗材和消耗品、仪器设备,合成磷脂、聚乙二醇修饰、PEG修饰磷脂、鞘磷脂、糖鞘脂、磷脂酰肌醇、荧光活性染料、蛋白质结晶工具、酶、微生物代谢试剂等
PLGA-SS-mPEG
PLGA-SS-PEG-PLGA
PLGA-SS-PEG-MAL
PLGA-SS-PEG-COOH
PLGA-SS-PEG-NH2
PLGA-SS-PEG-NHS
PLGA-SS-PEG-Biotin
PLGA-SS-PEG-N3
PLGA-SS-PEG-SH
PLGA-SS-PEG-OH
PLGA-SS-PEG-Br
PLGA-SS-PEG-Folate
服务商:石家庄pg电子娱乐游戏app 生物学现代科技限制公司
领域:科学研究
状态:固体/粉末/溶液
原产地:西安市
储存时间:1年
上传:冷藏箱
储藏条件:-20℃
舒心提示:只供研发,没有用做人身体实践
写手ssl2022.5.17


pg电子娱乐游戏app
微信公众号
官方微信