兰州pg电子娱乐游戏app 生物体制品网络现有集团是集有机有机检查是否反应研制开发和环保定制开发家具与一身的高网络有机有机检查是否反应集团。项目条件包含有机有机检查是否反应生化检查是否制剂和的类服务的研制开发、生产制造、销售员等。包涵的类服务为基础版生化检查是否制剂的包销、非基础版生化检查是否制剂的环保定制开发家具与研制开发,包括生物体制品网络、专注有机有机检查是否反应品、中间的体和医药化工食材等业务领域。与多加茶叶品牌广度进行合作,分销渠道浩瀚,营业项目的类服务:涂料药,COF、MOF模型款型:三蝶烯诞生物体制品、金刚烷诞生物体制品、四苯丁烷诞生物体制品、peg、上改换、石墨烯涂料、光电科技食材、单击有机有机检查是否反应、凝集素、载玻片、球蛋白酶质化工交联剂、脂质体、球蛋白酶、多肽、氨基酸等、糖有机有机检查是否反应等。
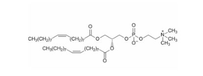
英文姓字称谓:二油酰磷脂酰乙酸乙酯胺
英文字母名:DOPE
耐腐蚀公司名称:1,2-二油酰-sn-甘油-3-磷酸乙酸乙酯胺
英语化学上的名称大全:1,2-Dioleoyl-sn-glycero-3-phosphoethanolamine
原子式:C41H78NO8P
CAS号:4004-05-1
应用:脂质体
特性:橙黄色蜡状膏状
溶解度:99%
溶解性性:不溶解水,可溶解氯仿、甲醇、无水乙醇。
分子结构量:744.03
存有情况:-20℃

脂质体(liposome)有的是种人工客服电话膜。在泥里磷脂氧大原子核结构的亲水顶部放入泥里,脂质体疏水尾巴伸出空气的,推动后组成多层脂氧大原子核结构的的球状脂质体,直经25~1000nm的样子。脂质体要用于转dna,或制法的**,巧用脂质体可和神经细胞膜深度融合的性能,将**送至神经细胞膜实物 海洋物理学确定:当俩性氧大原子核结构的如磷脂和鞘脂细化于水相时,氧大原子核结构的的疏水尾巴盲目性于集聚在混着,避滚水相,而亲水顶部被暴露在水相,组成拥有双氧大原子核结构的层结构的的的围合囊泡,又称脂质体。
重要性护肤品:
脂质体@**
脂质体包PLGA载紫杉醇
脂质体邮包FAM
脂质体包含阿苯达唑
脂质体包载褪黑素
80%PC+20%PI(4,5)P2 脂质体 Liposome
脂质体包硫化石墨稀 Liposome
cRGD靶点多肽遮盖脂质体 cRGD Liposome
Cy5.5脂质体 Cy5.5 Liposome
PS脂质体(200nm)PS Liposome
PS脂质体包载CY3(200nm)Liposome
PC脂质体(200nm)PC Liposome
钙黄绿素脂质体(100nm) Liposome
丹参酮iia@脂质体Liposome
妙用:成果转化
的情况:膏状/金属粉/硫酸铜溶液
生产基地:陕西
存储的时间:一年
永久保存:冷冻冷藏
生产厂:北京pg电子娱乐游戏app 怪物科学有效新公司
和谐提示信息:仅用做科研项目,不能够用做人体组织检测!zyl2022.5.17


pg电子娱乐游戏app
微信公众号
官方微信