绿色荧光素标记海藻酸钠Alginate-Fluorescein的Viscosity: 200–500 mPa.s,/100-300 cP/600-900 cP/1,000-1,500 cP
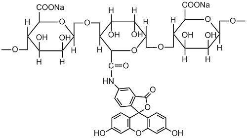
英语缩写英文:FITC-Alginate用英语英文名称:Alginate-Fluorescein又称:FITC标示绿豆酸钠;FITC-绿豆酸钠英语翻译详细介绍:Alginate is labeled with fluorescein, Ex/Em wavelength 494/518 nm (FITC). Purity: >95% powder. Degree of substitution: 1 mol % substitution and at least one dye molecule per alginic acid polymer激发光谱:490 nm-511nmViscosity: 200–500 mPa.s,/100-300 cP/600-900 cP/1,000-1,500 cP饱和度:95%+情况:蓝色粉末状原材料制造商:渭南pg电子娱乐游戏app
菌物科持非常有限单位

相关产品


pg电子娱乐游戏app
微信公众号
官方微信