HA-SH,巯基修饰透明质酸|HA-PEG,透明质酸-聚乙二醇|分子量:2K/5K/10K/20K/50K/100K
HA-SH,巯基修饰透明质酸|HA-PEG,透明质酸-聚乙二醇|分子量:2K/5K/10K/20K/50K/100K
HA-SH 巯基表达全透明质酸酶MW:150W
HA-SH,巯基绘制合理质酸|HA-PEG,透明度质酸-聚乙二醇
HA-SH,巯基遮盖黑色质酸
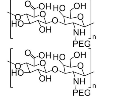
半玻尿酸-聚乙二醇、HA-PEG、Hyaluronate-PEG
中文字幕各称:透明度质酸钠-聚乙二醇(共聚物)
英语怎么说名称大全:Hyaluronate-PEG, HA-PEG
分子式量:2K/5K/10K/20K/50K/100K/500K/700K/1000K/1500K/2500K
铜网外观:乳白色粉未
融解度:水
西安pg电子娱乐游戏app 生物科技有限公司是西北一家生物公司,产品服务于光电材料、**传递系统、点击化学等领域。公西安pg电子娱乐游戏app 生物科技有限公司主要经营产品有合成磷脂、生化试剂、ELISA试剂盒、细胞因子、纳米材料、荧光染料、点击化学、技术服务、实验耗材和消耗品、仪器设备,合成磷脂、聚乙二醇修饰、PEG修饰磷脂、鞘磷脂、糖鞘脂、磷脂酰肌醇、荧光活性染料、蛋白质结晶工具、酶、微生物代谢试剂等
各种相关护肤品:
| DSPE-PEG2000-cRGD, |
| DSPE-PEG2000-COOH |
| DSPE-PEG2000-CHO |
| DSPE-PEG2000-c(KNGRE) |
| DSPE-PEG2000-anime |
厂家:西安pg电子娱乐游戏app
生物科技有限公司
不同的用途:成果转化
状态:固体/粉末/溶液
產地:兰州
储存时间:1年
永久保存:保鲜
储藏条件:-20℃
和睦建议大家:全部科技研究,不要应用在我们身体实验操作
小编ssl2022.5.10


pg电子娱乐游戏app
微信公众号
官方微信