DSPE-PEG-CHO MW:2000,二硬脂酰磷脂酰乙酰胺PEG醛基(DSPE-PEG-CHO)
DSPE-PEG-CHO MW:2000,二硬脂酰磷脂酰乙酰胺PEG醛基(DSPE-PEG-CHO)
DSPE-PEG-CHO MW:2000
中文名字字分类:二硬脂酰磷脂酰乙酰胺PEG醛基(DSPE-PEG-CHO)
中文名俗称:二硬脂酰磷脂酰乙酰胺PEG醛基
用英文怎么说标题:DSPE-PEG-CHO
分子结构量:400、600、1000、2000、3400、5000、10000
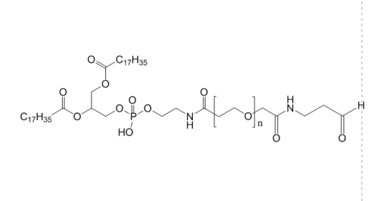
操作简价:(DSPE)共轭聚乙二醇是磷脂和聚乙二醇联系兼有亲水性聚氨酯聚氨酯和疏水性聚氨酯聚氨酯。聚乙二醇磷脂脂质体型成优Z的原材料,快速可以于**推送、基因组转染和肺炎疫苗引入。聚乙二醇化磷脂能**调节血循坏时刻和稳定可靠打包封装**。等文件还快速可以于靶向药物给药经过变更与梦想从表面配体如抗体阳性、多肽。
程序:液态、半液态到粘液,依赖于于团伙量。
融化性:易溶于DMSO,DMF。
保持良好水平:-20℃短期存储,阴凉,干燥的。
特别留意要点:取出必定要干燥的,禁止经常的溶解出来和冻干。
色度(PEG):95%上文
转化成率(CHO):90%往上
细化常数(PDI):小于等同于等同于1.05
浅析:COA、NMR、MALDI-TOF

产品:上海pg电子娱乐游戏app 微生物科技厂家信息有限制厂家
使用:研究
状态:固体/粉末/溶液
产区:上海
储存时间:1年
保管:冷冻冷藏
储藏条件:-20℃
浪漫警告:仅作教学科研,没办法用作人身体实验英文
小编我ssl2022.5.9


pg电子娱乐游戏app
微信公众号
官方微信