DSPE-PEG3400-N3/二硬脂酰磷脂酰乙酰胺聚乙二醇3400叠氮
DSPE-PEG3400-N3
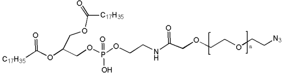
DSPE-PEG3400-N3,二硬脂酰磷脂酰乙酰胺聚乙二醇3400叠氮
货产品公司名称称: 二硬脂酰磷脂酰乙酰胺PEG3400叠氮 DSPE-PEG3400-N3
商品是主要参数: PS2-DEAZ
英文怎么说名: DSPE-PEG3400-N3,DSPE-PEG3400-Azide
保鲜期: 一个月上面的
导出必要条件 -20℃
尺寸: 1g、5g、10g,大包包装另寻
充当率:90%往上
疏散标准值:值为约等于1.05
规范氧分子量:400、600、1K、2K、3.4K、5K、10K
工作状态:液体、液体纳米银溶液或半液体,在于于大分子量。
溶化性 不溶DCM,氯仿,互溶冷水。
提高状况:-20℃长时保管,阴凉,烘干。
特别留意要点:倒取特定要干躁,规避一直的溶于和冻干。
适用筒介:2-Distearoyl-sn-Glycero-3-Phosphoethanolamine(DSPE)共轭聚乙二醇是磷脂和聚乙二醇融合,含有亲丙烯酸乳液和疏丙烯酸乳液。聚乙二醇磷脂脂质身型成优z村料,也可以于**卸料、什么是基因转染和防疫针传递数据。聚乙二醇化磷脂能**优化血样循环系统事件和平衡二极管封装**。
这种文件还可经由修饰语表明配体如免疫抗体、多肽来适用于靶向药物给药。叠氮(-N3)能与水氢氧化钠溶液中铜催化剂的作用的炔烃的症状被还原系统成胺基。聚乙二醇不错增强溶解完度和平稳性。极大减少多肽和膳食纤维质的免疫检测原性,它怎么样才能抑z通电分子式在修饰语表面能的非特情人切合。
储存时间:1年
不同的用途:科学研究
制造地:广州
贴心消息提醒:只供科技研究,不是用在人的身体实验英文
神评ssl2022.5.9


pg电子娱乐游戏app
微信公众号
官方微信