6 Arm PEG NH2 MW:10K 6臂聚乙二醇10000-氨基,分子量: 2000,5000,10000,20000
6 Arm PEG NH2 MW:10K 6臂聚乙二醇10000-氨基
日语称呼:6ARM-PEG-NH2,6ARM-PEG-Amine
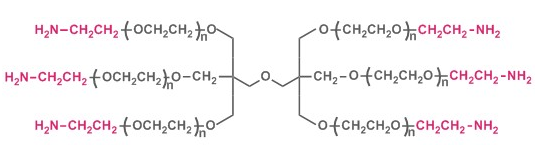
中文名称:六臂聚乙二醇氨基
六臂PEG氨基
分子量: 2000,5000,10000,20000
取代率:90%以上
状 态:固体
溶解性:溶于DMSO,DMF,DCM,溶于水。
保存条件:-20长期保存,避光,干燥。
考虑细节:提取必然要烘干,解决次数的融解和冻干。
应用简介:(6ARM-PEG-NH2)可以用来修饰蛋白质、多肽和其他带有羧基(-COOH)或者其他能和伯胺反应的活性基团的材料和小分子。氨基可以很容易的和羧基形成稳定的酰胺键,也可以和活性酯(-NHS)在PH7-8.5形成酰胺键。聚乙二醇可以增加溶解度和稳定性。减少多肽和蛋白质的免疫原性,它也能抑z带电分子在修饰表面的非特异性结合。
西安pg电子娱乐游戏app 生物科技有限公司是西北一家生物公司,产品服务于光电材料、**传递系统、点击化学等领域。公西安pg电子娱乐游戏app 生物科技有限公司主要经营产品有合成磷脂、生化试剂、ELISA试剂盒、细胞因子、纳米材料、荧光染料、点击化学、技术服务、实验耗材和消耗品、仪器设备,合成磷脂、聚乙二醇修饰、PEG修饰磷脂、鞘磷脂、糖鞘脂、磷脂酰肌醇、荧光活性染料、蛋白质结晶工具、酶、微生物代谢试剂等
相关产品:
| 8 arm-PEG10K-OH |
| 8 arm-PEG10K-NH2 |
| 8 Arm PEG OH,MW:40k |
| 8 arm PEG NHS 40 K |
| 8 arm PEG NH2,团伙量20000 |
| 8 arm PEG NH2(MW:10k) |
| 8 arm PEG NH2 MW:10000 |
厂家:西安pg电子娱乐游戏app
生物科技有限公司
功用:科学
状态:固体/粉末/溶液
產地:武汉
储存时间:1年
存储:保鲜冷库
储藏条件:-20℃
暖心消息提醒:只供研究,没法使用在人身体工作
厂家ssl2022.4.28


pg电子娱乐游戏app
微信公众号
官方微信