TRITA | CAS:402955-04-8 | 大环配体配合物
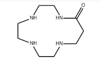
TRITA CAS 402955-04-8用英文怎么说各称:TRITA英文字母同义词:1,4,7,10-Tetraazacyclotridecan-11-oneCAS号:402955-04-8分子结构式:C9H20N4O碳原子量:200.28



pg电子娱乐游戏app
微信公众号
官方微信