NCS-MP-NODA |CAS 1374994-81-6|大环配体配合物
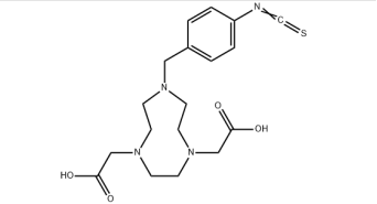
NCS-MP-NODA CAS 1374994-81-6中文版品牌:NCS-MP-NODA英文翻译简称:NCS-MP-NODA英文翻译同义词:NCS-MP-NODA;1H-1,4,7-Triazonine-1,4(5H)-diaceticacid,hexahydro-7-[(4-isothiocyanatophenyl)methyl]-CAS号:1374994-81-6分子结构式:C18H24N4O4S分子式量:392.47

DOTA tris(tBu)ester NHS ester CAS 819869-77-7
Maleimide-DOTA CAS 1006711-09-5
Maleimide-DOTA-GA CAS 1800229-46-2
DOTA-GA-Anhydride CAS 1375475-53-8
Eu-DOTA-4AmC CAS:481668-57-9
Tm-p-SCN-Bn-DOTA CAS:2126179-32-4
DO2AtBu CAS 162148-48-3
DO3AtBu CAS 122555-91-3
DO3AM CAS 331230-43-4
DOTAM CAS 157599-02-5
DOTAEt CAS 137076-50-7
NO2AtBu CAS 174137-97-4
NOTAM CAS 180299-76-1
TETRAM CAS 220554-75-6
TETAEt CAS 126320-57-8
TETAMEt2 CAS 126320-56-7
TETAMMe2 CAS 345612-68-2
TETAM CAS 345612-63-7
CB-TE2A CAS 313229-90-2
BCN-DOTA
1.介绍颜色等等物料因有差异物料的原子核量有差异,物料物理性质和外表颜色老有不同之处。2.更多在线客服如您的联系没法尽快进行回复,可以是当初联系过量可能是机系统洛天依。小编将可以提供售后维修提供服务提供服务。3.关羽发货,他们的加盟包裹有限公司有顺丰快运、圆通速递、申通、韵达。仅采用采用科研课题,不可采用人體实验室检测(zyl 2022.04.27)

pg电子娱乐游戏app
微信公众号
官方微信