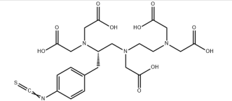
p-SCN-Bn-DTPA |CAS:102650-30-6|1-(4-异硫氰酸酯)二乙炔三胺|大环配体配合物
p-SCN-Bn-DTPA CAS:102650-30-6常常各称:1-(4-异硫氰酸酯)二乙炔三胺中文名字同义词:P-SCN-BN-DTPA免疫试剂;(4-异硫氰酸酯)二乙炔三胺;2-(4-异硫代氰酰基苄基)-二氯乙烯三胺五乙酸国外英文种类:1-(4-isothiocyanatobenzyl)diethylenetriaminepentaaceticacid国外英文同义词:(4-isothiocyanatobenzyl)diethylenetriaminepentaaceticacid;p-SCN-Bn-DTPA(B-305);p-SCN-Bn-DTPA;S-2-(4-Aminobenzyl)-diethylenetriaminepenta-tert-butylacetate;Glycine,N-[2-[bis(carboxymethyl)amino]ethyl]-N-[(2S)-2-[bis(carboxymethyl)amino]-3-(4-isothiocyanatophenyl)propyl]-CAS号:102650-30-6碳原子式:C22H28N4O10S原子核量:540.54



pg电子娱乐游戏app
微信公众号
官方微信