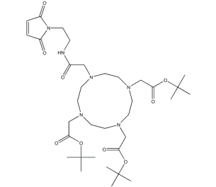
Maleimido-mono-amide-DOTA-tris (t-Bu ester)| CAS:1613382-10-7|大环配体配合物
Maleimido-mono-amide-DOTA-tris (t-Bu ester) CAS:1613382-10-72英文分类:1,4,7,10-Tetraazacyclododecane-1,4,7-triaceticacid,10-[2-[[2-(2,5-dihydro-2,5-dioxo-1H-pyrrol-1-yl)ethyl]amino]-2-oxoethyl]-,1,4,7-tris(1,1-dimethylethyl)ester常常同义词:马来酰亚胺基-MONO-AMIDE-DOTA-三叔丁酯;马来酰亚胺单酰胺-DOTA-TRIS(叔丁酯);DOTA-三叔丁酯-马来酰亚胺;,2',2''-(10-(2-((2-(2,5-二氧代-2,5-二氢-1H-吡咯-1-基)乙基)氨基)-2-氧代乙基)-1,4,7,10-四氮杂环第十二烷-1,4,7-三基)三乙酸三叔丁酯英语品牌:1,4,7,10-Tetraazacyclododecane-1,4,7-triaceticacid,10-[2-[[2-(2,5-dihydro-2,5-dioxo-1H-pyrrol-1-yl)ethyl]amino]-2-oxoethyl]-,1,4,7-tris(1,1-dimethylethyl)esterCAS号:1613382-10-7分子结构式:C34H58N6O9原子量:694.85912



pg电子娱乐游戏app
微信公众号
官方微信