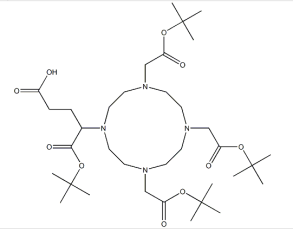
DOTAGA-tetra (t-Bu ester) | CAS:306776-79-4|DOTAGA-四叔丁酯|大环化合物
DOTAGA-tetra (t-Bu ester) CAS:306776-79-4常常称谓:DOTAGA-四叔丁酯2英文同义词:DOTAGA-四叔丁酯;DOTAGA-TETRA(叔丁酯);5-(叔丁氧基)-5-氧代-4-(4,7,10-TRIS(2-(叔丁氧基)-2-氧代乙基))-1、4、7、10-四氮杂环第十二烷-1-基)戊酸;大环有机化合物DOTAGA-TETRA(T-BUESTER);5-(叔-丁氧基)-5-氧代-4-(4,7,10-三(2-(叔丁氧基)-2-氧代乙基)-1,4,7,10-四氮杂-1-基)戊酸英文字母称呼:1,4,7,10-Tetraazacyclododecane-1,4,7,10-tetraaceticacid,a-(2-carboxyethyl)-,1,4,7,10-tetrakis(1,1-dimethylethyl)esterCAS号:306776-79-4氧化学式:C35H64N4O10分子式量:700.9



pg电子娱乐游戏app
微信公众号
官方微信