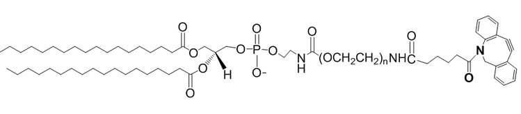
DSPE-PEG-DBCO/中文名称:磷脂-聚乙二醇-二苯并环辛炔/分子量:1k,2k,3.4k,5k,10k,20k(可按需定制)
日文名稱:DSPE-PEG-DBCO
中文名品牌:磷脂-聚乙二醇-二苯并环辛炔
分子结构量:1k,2k,3.4k,5k,10k,20k(可按需私人定制)
效果操作:95%+
保存标准:-20°C,阴凉,避湿
用 途:只供科技研究实践在使用,不使用于诊疗
的外观: 固态物体或粘力溶液,考量于氧分子量
目光事由:运用需要要晾干,杜绝频密的消融和冻干
水解性:不能溶解大这部分设计乙酸丁酯,如:DCM、DMF、DMSO、THF孩他。在水有比较好的溶水性
提取:现配现配,将包裝从电冰柜中卸下来,移至潮湿器中慢慢升为温度,开启瓶塞,提取。提取后充进惰性固体,封好处膜封好处,旋紧瓶塞装进自封袋,立刻倒入电冰柜。
DSPE-PEG-DBCO是一个种能和叠氮基發生物理发应的高抗逆性磷脂PEG诞生物。DBCO(二苯并环辛炔)一种惯用的无铜超链接化学上的制剂,对含叠氮化物(-N3)的原子核具备短时间而特异的反應性。
DBCO-PEG研究物在水相缓存液中具迅猛的能学和顺畅的相对稳定量分析。DBCO和叠氮基团相互的反映合法DSPE高*图标和整合到靶底物上。
DSPE(1,2-二硬脂酰-sn-甘油-3-磷酸无水乙醇胺)不是种长度疏水的18碳达到饱和状态磷脂。聚乙二醇化磷脂也是种样板工程的脂质机制剂资料,能用的 于分子式包封、遗传基因转染和递送。磷脂与DSPE-PEG-DBCO的聚乙二醇化可提升冲剂的血管反复的时间间隔和动态平衡性。
与很很简单组成的二芳基氮杂环辛酮来无铜药剂学反應。叠氮无机有机物与兴奋的炔烃(如环辛炔烃)的反應很很很简单演变成三唑无机有机物,而不必要无毒促使剂。
彩盒:成瓶
产址:浙江
不同的用途:仅适用科研项目
茶叶品牌:北京pg电子娱乐游戏app 海洋生物
笔者ssl2022.4.25


pg电子娱乐游戏app
微信公众号
官方微信