Sulfo-Cyanine5 bis-NHS ester,磺酸基Cy5 bis-活性酯 荧光染料
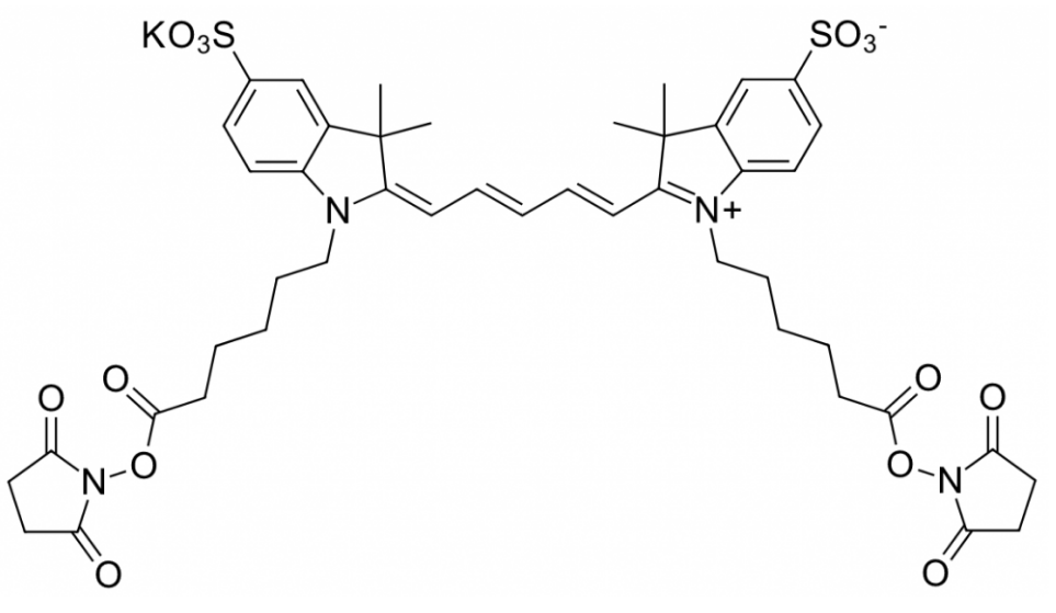
英语简称:Sulfo-Cyanine5 bis-NHS ester2英文各称:磺酸基Cy5 bis-催化活性酯氧化学结构式:C45H51KN4O14S2原子核量:975.14外觀:深橙色无水硫酸铜色度:>95%析出性 :可混溶氯仿,甲醇,乙腈,DMF等有机质相转移催化剂,易混溶水存有生活条件 :背光,干热,-20oC存有仅用作生物学调查结构设计式:



pg电子娱乐游戏app
微信公众号
官方微信