PLGA-PEG-PLGA MW:5000/2000聚乙交酯丙交酯聚乙二醇聚乙交酯丙交酯
Poly(lactic-co-glycolic acid)-b-Poly(ethylene glycol)-b-Poly(lactic-co-glycolic acid) copolymers, (Mw ~ 200:5,000:200 Da LA:GA 65:35)
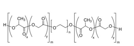
PLGA-PEG-PLGA
英文音标公司名称:Poly(lactide-co-glycolide)-block-poly(ethyleneglycol)-block-poly(lactide-co-glycolide)
外观专利:白色的/类灰白色胶体(外观设计是源于于碳原子量)
饱和蒸气压度:易溶于有机的液体
PLGA氧分子量:10002000 5000 10000 0000
PEG待选原子核量:1000,2000,3400,5000
PLGA标准:50:50/75:25
品质操作:代替率>90%,PDI<1.4
上传要求:-20℃ 2年
的产品简述:PLGA-PEG-PLGA还不错主要用于制法胶束还是囊泡等新式靶向疗法药物软件,软件末上方特异性基团还不错跳转一点体现多肽、蛋白酶、糖元、备孕叶酸或等,使其都具有主动的靶向疗法药物意义.
机构式:
產地:北京
应用场景:仅适用于科学
厂家:杭州pg电子娱乐游戏app 生物制品
纸盒包装:小瓶
PLGA-SS-mPEG
PLGA-SS-PEG-PLGA
PLGA-SS-PEG-MAL
PLGA-SS-PEG-COOH
PLGA-SS-PEG-NH2
PLGA-SS-PEG-NHS
PLGA-SS-PEG-Biotin
PLGA-SS-PEG-N3
PLGA-SS-PEG-SH
PLGA-SS-PEG-OH
PLGA-SS-PEG-Br
PLGA-SS-PEG-Folate
版主ssl2022.4.19


pg电子娱乐游戏app
微信公众号
官方微信