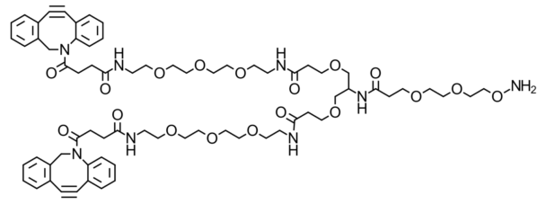
Aminooxy-PEG2-bis-PEG3-DBCO的分子式:C70H92N8O18,分子量:1333.52
Aminooxy-PEG2-bis-PEG3-DBCO氧化学结构式:C70H92N8O18碳原子量:1333.52溶解度:>90%
产地:西安
包装:mg与g级别
快递:顺丰,圆通,申通等
包装:瓶装
供应商:西安pg电子娱乐游戏app
生物科技有限公司

以上的的产品仅用做科学研究,没办法用做人体细胞实验设计(ysl2022.4.15)


pg电子娱乐游戏app
微信公众号
官方微信