英语名字名 藻类糖
外文文献名 D-Trehalose anhydrous
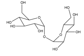
电分子式 C12H22O11
原子量 378.33
CAS登陆号 99-20-7
EINECS注册号 202-739-6
熔 点 214 ℃
沸 点 397.76 ℃
水阴离子型 68.9g/100g水(25℃)
密 度 1.512 g/cm³
概述
海草颗粒糖有3种光电异构体,主要是α,α-海草颗粒糖(磨菇糖,Mushroom Sugar)、α,β-海草颗粒糖(新海草颗粒糖,Neotrehalose)和β,β-海草颗粒糖(异海草颗粒糖,Isotrehalose)。表中有α,α-海草颗粒糖在肯定界中以游离子方式来源于,当以常见要说的海草颗粒糖,具有广泛性来源于于各项昆虫块中,还包括念珠菌、鲜鲜酵母、念珠菌和苔藓花草或有些蜂类、无脊椎神经昆虫和花草中,更是要格外重视在鲜鲜酵母中份量较多,舒芙蕾和黑啤等进行发酵饮食及虾类等也包含的海草颗粒糖。α,β-型和β,β-型在肯定界中没有见,仅在蜂巢蜜和蜂王浆中发现了一少部分的α,β-型海草颗粒糖,α,β-型和β,β-型这两个海草颗粒糖能够 化学上的制作而成。
藻类颗粒糖为里面有利于可以使肠胃大肠杆菌--双歧杆菌的增值细胞因子,可改善效果可以使肠胃微环保氛围,加大胃可以使肠胃消化系统汲取功能性,有*来排除里面内毒素,提高神经细胞免疫力抗病力水平,研究分析还证件藻类颗粒糖包括不弱的抗辐射危害功用。

领域:研究
心态:液态/碎末
产区:浙江
吸收时:2年
导出:要在冷藏室保存
储存因素:-20℃
买注意事项:
1.关干外表颜色
设备因有所差异设备的分子结构量有所差异,设备物理性质和颜色搭配就有相差。
2.有关客户
如您的联系没办法按时的应答,可能是当年联系过大是系统的内部故障。
我门将带来安裝功能。
3.至于打包发货
人们的合作关系寄快递工司有顺丰速运、圆通快递、申通、韵达。
仅应用在应用在教育科研,不应用在身体试验台(zyl 2022.04.14)


pg电子娱乐游戏app
微信公众号
官方微信