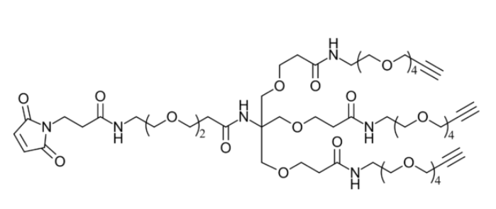
Mal-PEG2-tris-PEG4-alkyne PEG是经环氧乙烷聚合而成的,相对分子量在200~8000或者8000以上的乙二醇高聚物,其由重复的氧乙烯基组成
Mal-PEG2-tris-PEG4-alkyne商品简单介绍:PEG是经固化剂乙烷整合而成的,比较团伙量在200~8000还8000以内的乙二醇高聚物,其由重覆的氧丁二烯基成分,不有着不错的水可溶,能否混溶DCM、DMF、苯、乙腈和酒精等有机质容剂。PEG有2端部羟基,有着波形的(比较团伙的效率为5000~30000)或支化的(比较团伙的效率为40000~60000)链状节构,波形PEG的团伙式为H-(O-CH2-CH2)n-OH。实用的PEG有PEG200、PEG300、PEG400、PEG600、PEG1000、PEG2000、PEG4000、PEG6000、PEG10000等,在常温下比较团伙量为200~600的PEG是流体,比较团伙量为1000及以内者是液态。氧化学结构式:C60H98N6O24团伙量:1287.44
产地:西安
纯度:99%
用途:仅用于科研
温馨提示:仅用于科研,不能用于人体实验!

综上所述物品仅在科研开发,难以在人体人体实验英文(ysl2022.4.13)


pg电子娱乐游戏app
微信公众号
官方微信