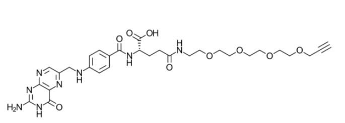
Folate-PEG4-alkyne可以制备成在PH6.5响应的纳米胶束材料 炔基在胶束外层可以用于偶连多肽或其他小分子
Folate-PEG4-alkyne产品设备叙说:PEG-Alkyne 聚乙二醇-炔基 PAE原子核量*0K PEG5K 都还可以准备成在PH6.5死机的納米胶束装修材料 炔基在胶束核外都还可以使用偶连多肽或别小原子核团伙式:C30H38N8O9氧分子量:654.67性 状 :白或微浅黄色膏状药物制剂存储因素:-20℃
用 途:仅供科研实验使用,不用于诊治
外 观:粘稠液体或者固体粉末,取决于分子量
注意事项 取用一定要干燥,避免频繁的溶解和冻干
纯度:>90%
产地:西安
温馨提示:仅用于科研,不能用于人体实验!

左右厂品仅适用成果转化,没有适用人体细胞研究(ysl2022.4.13)


pg电子娱乐游戏app
微信公众号
官方微信