Heparin-FITC,绿色荧光标记肝素
Heparin-FITC,绿色荧光标记肝素
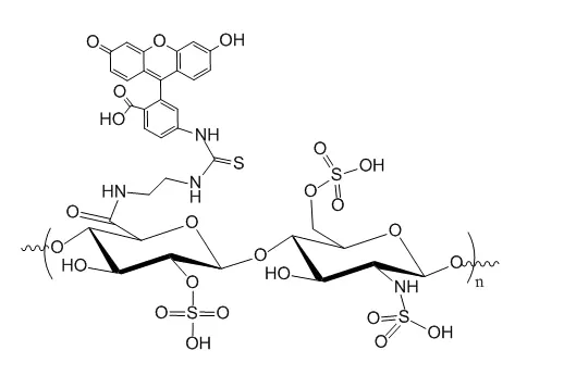
荧光标示肝素FITC-Heparin-PEG/CY3/CY3.5/CY5/CY5.5/CY7/罗丹明肝素是由D-葡糖胺、L-艾杜糖醛酸及β-D-葡糖醛酸跳变接而成的黏多糖盐酸酯,相对比较碳原子高质量在1 200~40 000之中,广泛应用来源于于节肢动物内部,大部分从牛肺和猪结肠胃粘膜中添加。肝素中每二糖单无中大概包包含2.5个磺基,因之其包包含羧基,能让肝素变成了自今相等的本身结果中负电性**的类物质,故其可与好多血清质**(如血官内皮成长细胞因子和血清质酶等)会出现静电反应共同的用途,以此对血清质起稳定的的用途,可以防止其变形。近日来,有学习者将肝素与另外的高碳原子装修材料缔合,形成机械化和物理化学效能优质的质粒装修材料。给出公司就能够给出荧光颜料适用标记图片后面肝有着以下颜料:FITC/Rhodamine/TRITC/Comarin/Bodipy/ICG/CY3/CY3.5/CY5/CY5.5/CY7/CY7.5对肝素实行活性酶类基团增韧的基团包涵有:产甲烷脂NHS/氨基NH2/生物体素Biotin/叠氮N3/醛基CHO/巯基SH/马来酰亚胺MAL/炔烃Alkyne/DBCO/Vinyl sulfone產商品分类称:墨绿色荧光素标注肝素英语翻译全称:FITC-Heparin/Heparin-Fluorescein英文翻译百度百科:Heparin is functionalized with fluorescein,Ex/Em wavelength 494/518 nm.Purity:>95%powder.Degree of substitution:1 mol%substitution and at least one dye molecule per polymer结构的式:


pg电子娱乐游戏app
微信公众号
官方微信