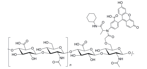
FITC-Hyaluronate|荧光素标记透明质酸分子结构示意图
FITC-Hyaluronate|荧光素标记透明质酸分子结构示意图
品牌讲解:
企业产名稱称:荧光黑色质酸
英语称呼:Fluorescent hyaluronic acid
别号:荧光素半透质酸
因为俗称:Fluorescein Hyaluronic Acid
车辆运输情况;传统运输配送
荧光素符号白色质酸氧分子设计图示图

透明体质酸是一个种原于马链球菌的由β(1-3)葡糖醛酸和β(1-4)氨基红葡萄糖注射液苷模块变化组合的多糖,施用5-氨基荧光素(氨基-四甲基罗丹明)箭头获得黄合成纤维状品牌。该品混溶水和钛电极质,但固态垃圾溶解性时段长,必须要在轻缓混合隔夜(1)。加入度在0.001-0.008相互之间。标上的过程 不太会产生明亮质酸的解聚。分子结构量是由GPC整体检查,可以通过葡聚糖标准的品矫校准,得见Mw(重均原子核量)6.0 x106。
光谱仪的数据
荧光素标志透明色质酸的较大调动可见光波长 495 nm,较大散发光波长524 nm。

存贮和不稳性
通过de 干品应吸收在封闭空间的收纳空间中,温度下放置于阴森森处。质保期提案为5年。当新产品溶剂在pH7.5,37°C下陪养另一十一年后(1),未留意到荧光标记图片物品缓解压力。
生产厂家:深圳pg电子娱乐游戏app 海洋生物饱和度:98%保留:保鲜冷库保存前提条件:-20℃供货期:现货黄金物流派送:许多种快件功能:科研工作主产地:石家庄贮存时光:3年浪漫提示信息:北京pg电子娱乐游戏app 生物学新材料技术有限工司工司制造的好产品仅使用在科研工作,难以使用在体内。写手:wyf 03.17

pg电子娱乐游戏app
微信公众号
官方微信