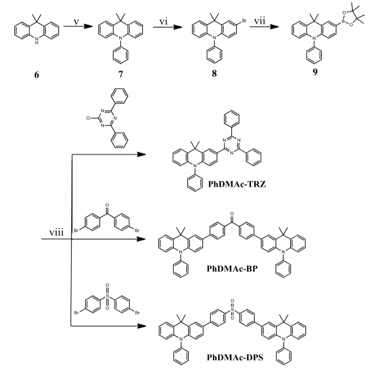
蓝色TADF热活化延迟荧光材料PhDMAc-C、PhDMAc-TRZ、PhDMAc-BP、PhDMAc-S、PhDMAc-DPS的合成路线
近年来,磷光和TADF有机电致发光器件因其能够实现**的内量子效率(ηint)而受到越来越多的关注。在这里,我们分别设计合成了绿色磷光主体材料和蓝色TADF材料并将其应用于有机电致发光器件。
来源于PhDMAc给体标段和差异肾上腺素多巴胺受体标段(羰基,三嗪,二苯甲酮),企业能够 打了个全系列蓝色系TADF涂料。采用变更给体和肾上腺素多巴胺受体间的弯曲角,企业进行了对TADF碳原子式碳原子式内自由电势传递性能特点的调空,能让TADF涂料在具是这个较小的ΔEST的互相还具是这个很强的碳原子式内自由电势传递态。TADF分子PhDMAc-C,PhDMAc-S的合成路线

PhDMAc-TRZ和PhDMAc-BP,PhDMAc-DPS的合成路线

基于PhDMAc-C、PhDMAc-TRZ和PhDMAc-BP的器件都取得了较高的器件效率,其EQEmax分别达到了11.48%、10.86%和8.65%,
EL光谱分析放射峰各自在442 nm、450 nm和466 nm,色方位角值(CIE)各自为(0.16,0.11)、(0.15,0.11)和(0.14,0.17),近乎新国际视频的规格分委会会定位的的规格蓝光的色方位角值(0.14,0.08)。


pg电子娱乐游戏app
微信公众号
官方微信