基于咔唑和3,3'-二甲基二苯醚共聚物主链的红光TADF聚合物PCzDMPE-R03 ~ PCzDM PE-R10
依托于咔唑和3,3'-二甲基二苯醚共聚物主链的红光TADF缩聚物PCzDMPE-R03 ~ PCzDM PE-R10
红光热碱化延迟时间荧光(TADF)配位合成树脂PCzDMPE-R03~PCzDMPE-R10PCzDMPE-R03PCzDMPE-R07PFDMPF-R05PCzDMPE-R10
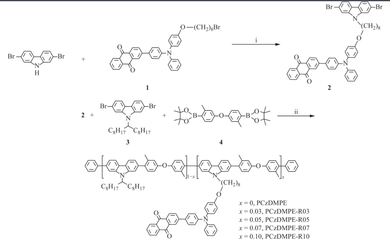
近期的,在共轭高分数子聚芴的基础上上,自己依据3,3'-二甲基二苯醚来管控主链的共轭的长度,
将3线态能级由2.16 eV提供到2.58 eV. 相关联的红光TADF缩聚物获得了了5.62%的外量子错误率和10.3 cd/A的电流值错误率,射峰处于606 nm。
只是,同类芴和3,3'-二甲基二苯醚共聚物主体性的高占有物氧分子组件(HOMO)能级为−6.03 eV,
与PEDOT:PSS绘制的ITO阳极直接的存在着很高的空穴吸取势垒,产生元件的启亮电阻较为增高.
之所以,咱们进一次选择体现了更强给电子器件程度的咔唑来取代了芴,
设计合成了基于咔唑和3,3'-二甲基二苯醚共聚物主链的红光TADF聚合物PCzDMPE-R03 ~ PCzDM PE-R10 ().
其中,PCzDMPE-R07表现出较优的非掺杂器件性能,启亮电压从原来的9.8 V降低到5.2 V,较大电流效率和外量子效率分别为3.35 cd/A和2.03%. 优化后的掺杂器件,电流效率和外量子效率可以进一步提升到7.36 cd/A和3.77%.
基于咔唑和3,3'-二甲基二苯醚共聚物主链的红光TADF聚合物PCzDMPE-R03 ~ PCzDM PE-R10的结构式



pg电子娱乐游戏app
微信公众号
官方微信