提供炔烃、醛基 、叠氮、巯基修饰的半乳糖、甘露糖 、葡萄糖等多种糖类定制技术
提供炔烃、醛基 、叠氮、巯基修饰的半乳糖、甘露糖 、葡萄糖等多种糖类定制技术
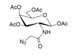
6-叠氮基-6-脱氧-乙酰氨基葡萄糖,叠氮葡糖
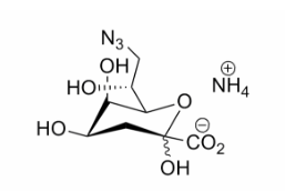
6-azido-6-deoxy-N-acetyl-glucosamine triacylated (Ac3-6AzGlcNAc)要求: 5 mg, 25 mg, 100 mg的产品描术:一款含叠氮化物的O-GlcN酰化淀粉酶酶质的炎症因子朋友基础上皮上皮生殖细胞代谢物理化学物质统计物。6-叠氮化物-6-脱氧-N-乙酰氨基红巨峰葡糖注射液三酰化(Ac36azglcnac)不是款含叠氮化物的O-GlcN酰化淀粉酶酶质的炎症因子朋友基础上皮上皮生殖细胞代谢物理化学物质统计物。引起提前准备的是,6azglcnac没能借助是需要在6-羟基处磷过酸的**化解方法怪物获得被转化为相关的的udp糖供体。体内实验报告阐明,6azglcnac就能够借助磷酸乙酰氨基红巨峰葡糖注射液变位酶(agm1)马上磷过酸其1-羟基来跳过相应思维障碍。用荧光炔烃或怪物素炔烃加测叠氮化物表达淀粉酶酶。乙酰基扩大了上皮上皮生殖细胞的很透亮性,使非**糖很简易借助上皮上皮生殖细胞质。万一单糖进上皮上皮生殖细胞,羧化酯酶就除去乙酰基。团伙量:372.33电化学精分:C14H20N4O8溶解出来性:DMSO、DMF、DCM、THF、氯仿含量:>90%的外观:暗红色至橘黄色无定形固态垃圾保存因素:-20°C。运送标准:周围环境温8-叠氮基-3,8-二脱氧-D-甘露-辛酮糖酸,Kdo叠氮糖
美称:2-酮基-3-脱氧心酸叠氮糖;3-去氧-D-珠露-2-辛酮糖酸叠氮糖Kdo Azide,Kdo-Azide, 8-Azido-3,8-dideoxy-D-manno-octulosonic acidcas:1380099-68-2标准:10 mg, 25 mg, 100 mg物品描绘:是一种所含近似3-脱氧-d-珠露-辛酮酸(kdo)的叠氮化物。8-叠氮-3,8-二脱氧-d-甘霖-辛酮酸(kdo azide)是**3-脱氧-d-甘霖-辛酮酸(kdo azido)的本身一样物,包含的非常的小的改善,格外是叠氮地方。这类氧分子是还可以被陪养的肿瘤细胞(这类革兰氏呈阴性细茵)搭配,并在化学活化糖生物技术体制品炼制阶段中被搭配到聚糖(这类LPS)中。Detection uses the chemicalselective linkation or“click”reaction between an azide and an alyne or cyclooctyne.,kdo azide,叠氮标出分泌物,是本身包含的叠氮化物的分泌核蛋白酶质标出实验试剂是还可以划入硝酸银液的生物技术体制品炼制路线。叠氮化改善核蛋白酶质测试用荧光或生物技术体制品炔烃。大分子量:280.24药剂学精分:C8H16N4O7CAS号:1380099-68-2组成部分式:
叠氮修饰半乳糖N-azidoacetylgalactosamine-tetraacylated (Ac4GalNAz)
美称:2-[(2-azidoacetyl) amino]-2-deoxy-1, 3, 4, 6-tetraacetate-D-galactopyranosecas:653600-56-7能作:5 mg、25 mg、100 mg好产品说明:具有非那自然叠氮基的四酰化单糖创建基块。Ac4GalNAz有效单糖的非自然环境叠氮类化合物。叠氮化物个部分能够用于药剂学确定性药剂学体现,收录Cuaac、Cu什么是自由鼠标单击生理反应或Staudinger结扎。乙酰基增多了在一些液体中的溶化性,使处里这样的化学药品更会。大分子量:430.37无机化学好分:C16H22N4O10CAS号:653600-56-7结构类型式:
叠氮修饰葡萄糖N-azidoacetylglucosamine-tetraacylated (Ac4GlcNAz)
別名:2-[(2-azidoacetyl) amino]-2-deoxy-1, 3, 4, 6-tetraacetate-D-glucopyranosecas:98924-81-3常用:5 mg、25 mg、100 mg包含有非**叠氮基的四酰化单糖构成块。物品文章的话:具有刺激性单糖的非清新叠氮有机物。叠氮化物环节可于检查是否选购性检查是否表达,比如Cuaac、Cu轻松自由弹窗反应迟钝或Staudinger结扎。乙酰基增多了在多数萃取剂中的可溶性高,溶于水的性,使进行处理这类制剂更易于。规格尺寸原子量:430.37化学式材质:C18H22N4O10CAS号:98924-81-3熔化分解性:DMSO、DMF、DCM、THF、氯仿色度:>90%铜网外观:白色的至灰黑色无定形固态物存贮必要条件:-20C车辆水平:环境温叠氮修饰甘露糖N-azidoacetylmannosamine-tetraacylated (Ac4ManNAz)
又称:2-[(2-azidoacetyl) amino]-2-deoxy-1, 3, 4, 6-tetraacetate-D-Mannose可以:5 mg、25 mg、100 mg有效非**叠氮基的四酰化单糖构造块。的产品说明:含单糖的非自然规律叠氮检查是否物质。叠氮化物部件也可以于检查是否选定 性检查是否呈现,分为Cuaac、Cu自由自在打开网页发应或Staudinger结扎。乙酰基提升了在不少相转移催化剂中的容解性,使治疗一种微生物培养基更非常容易。分子结构量:430.37化学上金属元素:C16H22N4O10CAS号:361154-30-5降解性:DMSO、DMF、DCM、THF、氯仿色度:>90%外在:浅银灰色无定形固态储藏能力:-20°C。运送情况:学习环境环境温湿度炔基修饰半乳糖;N-4-戊炔基-四酰化-氨基半乳糖
品牌分类:Ac4GalNAl英语:N-(4-pentynoyl)-galactosamine tetraacylated 别名:2-deoxy-2-[N-4-pentynoyl) amino]-1, 3, 4, 6-tetraacetate-D-Galactopyranose產品说明:Ac4GalNAl就是种带有单糖的非**炔烃。炔的构造一些可能够 物理发应开展性结扎物理发应(涉及到Cuaac)或各类Pd离子液体的偶合发应开展体现。乙酰基新增了在很多容剂中的降解性,使治疗这样的古建筑更便捷。N-4-戊炔基-四酰化-氨基半乳糖(Ac4GalNAl))具备一个多个很简单和強大的两步来完成技木的的构造一些,有利于正常识别和定性分析带有糖球蛋白酶的内部膜面津液酸。用荧光叠氮化物或海洋生物素叠氮化物在线检测炔体现球蛋白酶。乙酰基新增了内部膜的清晰性,使非**糖很便捷能够 内部膜膜。可能单糖到内部膜,羧化酯酶就彻底清除乙酰基。非当然的,含炔烃的,四酰化的单糖构造的构造一些。CAS号:1658458-26-4年纪:5 mg、25 mg、100 mg团伙量:427.40有机化学完分:C19H25NO10溶解度性:DMSO、DMF、DCM、THF含量:>90%表面:乳白色至灰色的无定形粉状存放前提:-20C配送必备条件:的环境温暖炔基修饰葡萄糖N-(4-pentynoyl)-glucosamine tetraacylated (Ac4GlcNAl);
别名:2-deoxy-2-[N-4-pentynoyl) amino]-1, 3, 4, 6-tetraacetate-D-GlucopyranoseAvailable: 5 mg, 25 mg, 100 mg成品描诉:Ac4GlcNAl是非要清新的,含炔烃的,四酰化的单糖组成环节环节。N-叠氮乙酰半乳糖胺四酰化(Ac4GlcNAl)展示 好几个种简短而坚强的二步能力应用的那部分,该能力应用这样有利于识别系统和定量分析有效糖蛋清的癌人体血细胞系接触面吐液酸。用荧光炔烃或生物工程素炔烃检验叠氮化物遮盖蛋清。乙酰基增多了癌人体血细胞系的通透有质感性,使非**糖很更容易根据癌人体血细胞系质。如果单糖加入癌人体血细胞系,羧化酯酶就洗去乙酰基。cas1361993-37-4碳原子量:430.37生物学定位:C16H22N4O10溶于性:DMSO、DMF、DCM、THF、氯仿饱和度:>90%看:紫色至深灰色无定形固状店铺前提条件:-20C及运输前提条件:工作环境温湿度炔基修饰甘露糖N-(4-pentynoyl)-mannosamine-tetraacylated (Ac4ManNAl)
別称:2-deoxy-2-[N-4-pentynoyl) amino]-1, 3, 4, 6-tetraacetate-D-Mannosecas:935658-93-8Available: 5 mg, 25 mg, 100 mg產品表述:Ac4ManNAl 不是种包含单糖物质的非**炔烃。炔烃有些可利用耐腐蚀上的选泽性耐腐蚀上的形式(收录Cuaac或各个Pd催化体现的偶联体现)进行改性材料。乙酰基新增了在很多石油醚中的溶解性性,使办理这样制剂更更易。团伙量:427.40化学上成分表:C19H25NO10CAS号:935658-93-8降解性:DMSO、DMF、DCM溶解度:>90%外观专利:乳白色至灰白色无定形混合物儲存具体条件:-20°C。运输车條件:条件湿度

pg电子娱乐游戏app
微信公众号
官方微信