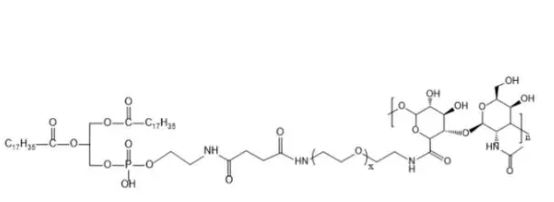
DSPE-PEG-HA,MW:2000,HA30KDa 二硬脂酰基磷脂酰乙醇胺-聚乙二醇-透明质酸
中文字幕公司名称:二硬脂酰基磷脂酰无水乙醇胺-聚乙二醇-半透质酸磷脂-聚乙二醇-全透明的质酸酶;全透明的质酸酶PEG磷脂英文版名字:DSPE-PEG-Hyaluronan;Hyaluronan-PEG-DSPE;DSPE-PEG-HA感觉:气体/粉尘 PEG碳原子量:1k,2k,3.4k,5k,10k,20k许多碳原子量均可订做色度:≥98%可无水磷酸氢高,混溶水的性:都具有积极的水无水磷酸氢,混溶大部份巧妙稀释剂,如:DCM、DMF、DMSO、THF这些等等。保持條件:≤-4℃底温粗糙保持存为准确时间:1年时间内领域:仅代替科技,禁代替人测试



pg电子娱乐游戏app
微信公众号
官方微信