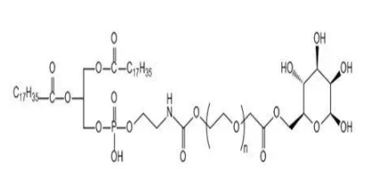
DSPE-PEG-Mannose, MW:3400;磷脂聚乙二醇甘露糖;磷脂PEG甘露糖
产品的相关信息常常各称 磷脂聚乙二醇甘霖糖 甘霖糖聚乙二醇磷脂名字简称 DSPE-PEG-Mannose Mannose-PEG-DSPE原子核量 1000、2000、3400、5000、10000溶解能力度不能溶解 部件有机化学有机溶液内存前提 -20°制冷保留,惰性的气体保護保留准确时间 年产品设备构成式



pg电子娱乐游戏app
微信公众号
官方微信