DSPE-PEG2000-RGD靶向肽 磷脂-聚乙二醇-靶向肽 DSPE-PEG2000-RGD靶向肽
DSPE-PEG-RGD,RGD是由精氨酸(Arg)、甘氨酸(Gly)、天冬氨酸(Asp)3个氨基构造的字段肽,是近些年前显示的有着高菌物抗逆性的短肽字段之1。RGD肽作聚合素和其配体互相用途的甄别位点,介导体组织与体组织外机质及体组织间的黏附用途,此外具备着预警传导电流特点。聚乙二醇(PEG)偶联的DSPE具备着亲水性聚氨酯,可以用在于抗癫痫药物递送、dna转染和动物分子式装饰。软件名字:
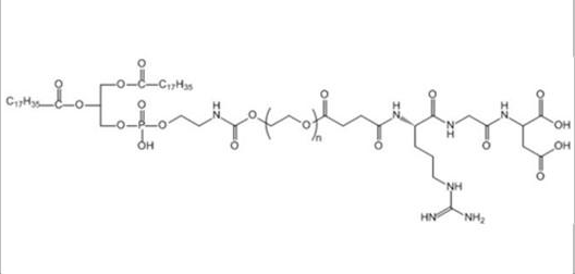
DSPE-PEG2000-RGD 磷脂聚乙二醇靶向肽
英文翻译种类:DSPE-PEG2000-RGD靶向治疗治疗肽 DSPE-PEG2000-RGD靶向治疗治疗肽2英文名字大全:磷脂-聚乙二醇-靶向疗法肽形态:固态物或胶状固态,在于于原子量规格保管周期 3年端基转化成率:≥95%类产品设备构造式:


pg电子娱乐游戏app
微信公众号
官方微信