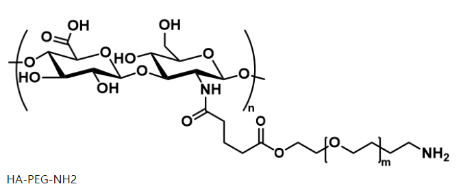
HA-PEG-NH2 氨基-聚乙二醇-透明质酸 HA-PEG-Amine
产品的描素:PEG具象化物又说PEG(聚乙二醇)呈现剂,呈现性PEG等。是会有官能团的PEG,现今主要的代替血清质物呈现,以不断增加身体半衰期,减小免疫系统原性。
产品名称:
HA5000-PEG2000-NH2 氨基功能化透明质酸聚乙二醇
英文名称:HA-PEG-NH2 HA-PEG-Amine
繁体中文简称:氨基-聚乙二醇-半透质酸方式:固态垃圾或乳白色液态,考量于团伙量规格上传准确时间 一年端基充当率:≥95%物料空间结构简式:


pg电子娱乐游戏app
微信公众号
官方微信