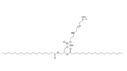
DSPE-PEG 磷脂聚乙二醇 dspe-peg
DSPE-PEG应用 DSPE-PEG有的是种磷脂配位高分子化合物偶联物,可于口服药产生APP。DSPE-PEG有的是种代替制得纳米技术平台的板材,代替缩短血液循环系统运作系统系统循环系统时、加快稳定的性和加快二极管封装成功率用英文怎么说分类:
DSPE-PEG2000
中文翻译名字:磷脂-聚乙二醇别名:DSPE-PEG 磷脂聚乙二醇 dspe-peg
进行包装:成瓶产址:昆明工厂:渭南pg电子娱乐游戏app 怪物社会有限制大公司温情表示:仅不适用做科学實驗,切勿用做躯干!节构式:


pg电子娱乐游戏app
微信公众号
官方微信