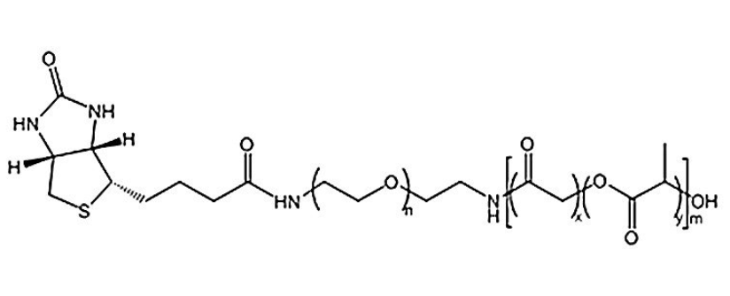
PLGA-PEG-Biotin 聚乳酸-羟基乙酸共聚物-聚乙二醇-生物素 Biotin-PEG-PLGA
英文翻译名字:
PLGA-PEG-Biotin MW:12000,2000 50:50
汉语品牌:聚乳酸-羟基乙酸共聚物聚乙二醇生物工程素别名:PLGA-PEG-Biotin 聚乳酸-羟基乙酸共聚物-聚乙二醇-生物素 Biotin-PEG-PLGA
封装:瓶裝制造地:广州制造厂家:成都pg电子娱乐游戏app 生物学信息技术有限集团公司集团公司温磬的提示:仅适用性于科研项目科学实验,切不可用到人们!组成部分式:


pg电子娱乐游戏app
微信公众号
官方微信