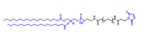
DSPE-PEG-MAL二硬脂酰基磷脂酰乙醇胺聚乙二醇马来酰亚胺
【氧化物标题】DSPE-PEG-MAL、二硬脂酰基磷脂酰乙酸乙酯胺-聚乙二醇-马来酰亚胺、磷脂-聚乙二醇-马来酰亚胺【有机化合物性能指标详情页】相对相对性状:选择团伙式量的有所差异,为固态物咖啡豆或胶状粘液;PEG2000团伙式量的相对相对性状为白色彩固态物咖啡豆。萃取剂:Water(水)、Methanol(甲醇)、Chloroform、 DMF、DMSO等常規可挥发萃取剂想法性组:马来酰亚胺对这原子有反應性:巯基(-SH)脂质形式:18C PE,是处于饱和状态原子量(PEG ):2000、3400、5000,各种原子量可能订制。

【类化合物采用情况说明】DSPE-PEG-MAL是不良生理反应性磷脂PEG免疫试剂一个,能否与巯基(硫醇,-SH)不良生理反应,DSPE(1,2-二硬脂酰基-sn-甘油3-磷酸甲醇胺)都是种高宽比疏水的达到饱和状态18C磷脂。另个方便,PEG插头(聚乙二醇)极具更好的亲水阴离子型和水阴离子型,马来酰亚胺官能的DSPE PEG对繁衍自不同的原子的巯基/硫醇基团极具发生现象性,马来酰亚胺和硫醇互相的发生现象在碱性pH下简易参与。马来酰亚胺PEG DSPE 脂质体是将脂质体和某些脂质PEG納米科粒界面上的抗原,肽或某些配体缀合的常见的影响性磷脂组成。有关的类产品:羧基-聚乙二醇-氨基葡聚糖-罗丹明B环肽iRGD聚乙二醇硅烷四臂聚乙二醇巯基花青素CY5-聚乙二醇-氨基 氨基-聚乙二醇-醛基 PEG-Nano gold羧基淡化葡聚糖磷脂-聚乙二醇-马来酰亚胺聚丁二烯亚胺聚己内酯FITC-活性酶酯Sulfo-Cyanine5.5 NHS ester聚乙二醇 包装四腐蚀三铁納米顆粒